2024九省联考何时查分?新高考是如何赋分的? —掌上高考—中国教育在线
温馨提示:双一流大学2023年录取分数线汇总,点击此处下载,来看看你能上哪些大学!
2024年九省联考于21日圆满落下帷幕,考试结束后很多考生家长都很关心成绩何时出?新高考下是如何赋分的?如何做好试卷分析真正做到查漏补缺等问题,掌上高考今日就来一一为大家解答,参与本次联考及2024届考生家长重点关注!
各省哪天能查分?
01评卷、查分、模拟录取时间
江西:评卷工作在2024年春节前完成。考生可于2024年2月底前查询本人适应性演练考试文化成绩。2024年4月20日-23日左右,组织考生模拟志愿填报工作。适应性演练投档录取工作安排在2024年4月下旬进行。
黑龙江:评阅时间初步安排在春节假期后。适时发布考生演练成绩、位次等信息(本次演练不安排考生成绩复核工作),按工作进度组织开展模拟志愿填报和模拟录取工作,模拟录取结果不予公布。
吉林:适应性演练试卷实行网上评卷,评卷工作由省教育考试院统一组织实施。省教育考试院将适时发布考生测试成绩、位次等信息,划定公布模拟控制分数线。
甘肃:1月22日开始,省教育考试院将参照普通高考评卷流程和要求组织适应性测试评卷工作。省教育考试院将适时发布考生成绩,划定模拟控制分数线并予以公布。
其他省份情况,掌上高考将密切留意,敬请关注。
你的分数是如何换算的?
目前此次联考九省均采用新高考【3+1+2】选科模式,统一采用五等级赋分制度。
需要“等级转换赋分”的科目:政治、地理、化学、生物4门,这4门要以等级赋分后的成绩计入总成绩。
【3】语文、数学、外语3科满分均为150分,总分450分,各科均以原始成绩计入考生总成绩。
【1】物理或历史必选一科,满分为100分,以原始成绩计入考生总成绩。
【2】政治、地理、化学、生物任选2科,每科满分均为100分,以等级赋分成绩计入考生总成绩。
02具体换算过程
1.固定的比例及对应的等级、赋分区间。
以实际参加该科选考人数的成绩为基数,将各考生原始成绩从高到低划分为A、B、C、D、E共5个等级,各等级人数所占比例分别约为15%、35%、35%、13%和2%。

以上的5个等级及各等级对应的比例及赋分区间是事先设定的固定规则,转换后赋分成绩满分为100分,赋分起点为30分。
举例①:某学科原始分前15%的考生最高分为100分,最低分为95分,则该学科A等级的原始分区间为【100~95】。
已知A等级赋分区间为【100~86】分(固定不变),也就是说,原始分【100~95】的考生为A等级,赋分后最终成绩为【100~86】分。
举例②:某学科考试成绩最后2%的考生最高分为20分,最低分为5分,则该科目E等级的原始分区间为【20~5】。
已知E等级赋分区间为【40~30】分(固定不变),
也就是说,原始分【20~5】的考生为E等级,赋分后最终成绩为【40~30】分。
极端地讲,假设这个区间某考生原始分为5分,赋分后也能拿到30分。
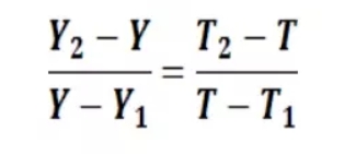
03等级转换的具体公式:
Y1、Y2分别表示原始分区间的下限和上限;T1、T2分别表示转换分区间的下限和上限;Y表示原始分;T表示转换分。

考虑到高考分数都以整数呈现,故上述公式的计算结果需要进行“四舍五入”处理。
举例假设小线同学政治学科原始分为75分,再假设政治学科B等级原始分区间为【82~61】,则小线同学政治学科为B等级是多少?
下面进行赋分换算:B等级的赋分区间【85~71】(固定不变),那么小线同学赋分后分数为:

解得,T≈80.33;四舍五入后小线同学政治学科最终赋分成绩为80分。

如何做试卷分析?
此次九省联考是新高考的风向标,也是一次暴露自己学习问题的宝贵机会,对之后的复习、备考方向等起重要作用!各位考生家长一定要及时做好试卷分析,充分利用好这次难得的机会,找出问题,解决问题,为高考发挥更大价值!
掌上高考整理了试卷分析四大方法,帮助大家查缺补漏!
01从逐题分析到整体分析
从每一道错题入手,分析错误的知识原因、能力原因、解题习惯原因等。分析思路是:
●这道题考察的知识点是什么?
●知识点的内容是什么?
●这道题是怎样运用这一知识点解决问题的?
●这道题的解题过程是什么?
●这道题还有其他的解法吗?在此基础上,就可以进行整体分析,拿出一个总体结论了。
通常情况下,考试丢分的原因大体有三种:即知识不清(在考试之前没有把知识学清楚)、问题情景不清(审题不清,没有把问题看明白)和表述不清(虽然知识具备、审题清楚,问题能够解决,但表述凌乱、词不达意)。
上述问题逐步由低级发展到高级。研究这三者所造成的丢分比例,用数字说话,也就更能够得到整体结论,找到整体方向。
02从数字分析到性质分析
统计各科因各种原因的丢分数值。如计算失误失分、审题不清失分、考虑不周失分、公式记错失分、概念不清失分等。
找出最不该丢的5~10分。这些分数是最有希望获得的,在后续学习中,努力找回这些分数可望可即。如果真正做到这些,那么不同学科累计在一起,总分提高也就很可观了。
透过现象看本质。任何一处失分,有可能是偶然性失分,也有可能是必然性失分,要学会透过现象看本质,找到失分的真正原因。
03从口头分析到书面分析
在学习过程中,反思十分必要。所谓反思,就是自己和自己对话。这样的对话可能是潜意识的,可能是口头表达,最好书面表达。
从潜意识的存在到口头表达是一次进步,从口头表达到书面表达又是一次进步。书面表达是考后试卷分析的最高级形式。
所以,同学们可以在考试后写出书面的试卷分析。这个分析是反观自己的一面镜子,是以后进步的重要阶梯。
04从归因分析到对策分析
以上分析都属现象分析,在此基础上,就可以进行归因分析和对策分析。三种分析逐层递进:现象分析回答了“什么样”,归因分析回答“为什么”,对策分析回答“怎么办”。
错误原因一般有三种情况:
●对教材中的观点、原理理解有误,或理解不广、不深、不透;
●对某些题型的解题思路、技巧未能掌握,或不能灵活地加以运用;
●表现在答题时的非智力因素方面,如遇到复杂些的论述题,便产生恐惧心理等,从而造成失误。
如果是第一种原因
应针对题目所涉及的有关知识要点及原理内容认真地加以复习巩固,真正弄懂弄通。
应要求自己务必掌握住某一题型的答题要领。无论是哪一类题型,都有答题思路和方法,但关键是对某一特定试题具体作答的“个性”和“特殊性”掌握,只有细心体会,才会有所感悟和提高。
如果是第三种原因
应在平时训练中有意识地培养和锻炼自己的良好应试心理素质,努力克服不良心态,在答题时做到从容不迫、沉着冷静。
试卷自我分析写完后,千万不要束之高阁,要经常翻阅复习,以达到巩固知识,加强理解,培养能力,掌握规律的目的。
相关文章
- 2024年新高考九省联考生物试题答案解析(贵州) —掌上高考—中国教育在线
- 2024年青海艺术类专业统考成绩查询官网入口:http://www.qhjyks.com —掌上高考—中国教育在线
- 云南2024年艺考成绩查询入口:https://www.ynzs.cn —掌上高考—中国教育在线
- 广西高考分析:2023广西高考考生模拟填报特点 —掌上高考—中国教育在线
- 广西高考分析:广西考生上双一流大学难吗? —掌上高考—中国教育在线
- 云南2024年艺考成绩复核须知 —掌上高考—中国教育在线
- 山西2024年高校招生艺考表(导)演类戏剧影视导演方向笔试考生守则 —掌上高考—中国教育在线
- 甘肃2024年表(导)演类(戏剧影视导演、戏剧影视表演)专业统考成绩查询公告 —掌上高考—中国教育在线
- 甘肃2024年艺考表(导)演类专业统考成绩查询入口:kw.ganseea.cn —掌上高考—中国教育在线
- 甘肃2024播音与主持类专业成绩查询入口:https://kw.ganseea.cn —掌上高考—中国教育在线
微信收款码
支付宝收款码