等级
-
陕西什么时候新高考?新高考分数如何计算? —掌上高考—中国教育在线
温馨提示:高三二模成绩已出,点击此处,测测你的分数,能上哪些大学!陕西新高考将于2025年开始实行。近日,《陕西省普通高中学业水平选择性考试科目赋分办法(试行)》发布,对考试科目、科目分值、等级划分,以及如何赋分进行了介绍。一起来看吧!一、考试科目及成绩呈现(一)考试科目。选择性考试科目包括思想政治、历史、地理、物理、化学、生物学等6门科目。学生根据自身兴趣、志向、优势和普通高等学校招生专业选考科目要求,在历史和物理科目中首选1门科目,在其余4门科目中再选2门科目参加选择性考试。(二)成绩呈现。选择性考试
等级科目分数 -
陕西什么时候新高考?新高考分数如何计算? —掌上高考—中国教育在线
温馨提示:高三二模成绩已出,点击此处,测测你的分数,能上哪些大学!陕西新高考将于2025年开始实行。近日,《陕西省普通高中学业水平选择性考试科目赋分办法(试行)》发布,对考试科目、科目分值、等级划分,以及如何赋分进行了介绍。一起来看吧!一、考试科目及成绩呈现(一)考试科目。选择性考试科目包括思想政治、历史、地理、物理、化学、生物学等6门科目。学生根据自身兴趣、志向、优势和普通高等学校招生专业选考科目要求,在历史和物理科目中首选1门科目,在其余4门科目中再选2门科目参加选择性考试。(二)成绩呈现。选择性考试
等级科目分数 -
陕西什么时候新高考?新高考分数如何计算? —掌上高考—中国教育在线
温馨提示:高三二模成绩已出,点击此处,测测你的分数,能上哪些大学!陕西新高考将于2025年开始实行。近日,《陕西省普通高中学业水平选择性考试科目赋分办法(试行)》发布,对考试科目、科目分值、等级划分,以及如何赋分进行了介绍。一起来看吧!一、考试科目及成绩呈现(一)考试科目。选择性考试科目包括思想政治、历史、地理、物理、化学、生物学等6门科目。学生根据自身兴趣、志向、优势和普通高等学校招生专业选考科目要求,在历史和物理科目中首选1门科目,在其余4门科目中再选2门科目参加选择性考试。(二)成绩呈现。选择性考试
等级科目分数 -
山东2024年学考成绩如何进行等级赋分转换? —掌上高考—中国教育在线
温馨提示:高三二模成绩已出,点击此处,测测你的分数,能上哪些大学!学业水平等级考试成绩如何进行等级赋分转换?答:学业水平等级考试科目由学生在6门等级考试科目中自主选择3门组成,共有20种选考组合。由于科目特点、选考群体等差异,各科目原始成绩简单相加会造成学科之间不公平。我省采取等级分数的表达方式,将每门等级考试科目考生的原始成绩从高到低划分为A、B+、B、C+、C、D+、D、E共8个等级区间,参照正态分布原则,确定各等级区间人数所占比例分别为3%、7%、16%、24%、24%、16%、7%、3%。等级考试
等级温馨提示成绩 -
天津2024年高考时间公布 —掌上高考—中国教育在线
温馨提示:高三二模成绩已出,点击此处,测测你的分数,能上哪些大学!近日,市招委印发《2024年天津市普通高校招生工作规定》,公布2024年天津高考时间。2024年,我市继续实施自主命题,普通高校招生录取总成绩由统一高考成绩和普通高中学业水平等级性考试(简称等级性考试)成绩构成。高考科目设置语文、数学、外语共3门。等级性考试科目设置思想政治、历史、地理、物理、化学、生物学共6门,由考生自主选择其中3门参加考试。高校招生录取总成绩满分值为750分。其中,统一高考各科目成绩均以原始分数的方式呈现,语文、数学、外
温馨提示点击此处等级 -
陕西高中学业水平选择性考试科目赋分办法(试行) —掌上高考—中国教育在线
志愿填报指导视频、历年高考真题、双一流院校录取分数线、各地联考试题、高分作文素材、高考各科复习要点……你想要的,全都有!点击即可领取!根据《教育部关于普通高中学业水平考试的实施意见》(教基二〔2014〕10号)和《陕西省人民政府关于印发深化普通高等学校考试招生综合改革实施方案的通知》(陕政发〔2022〕14号)精神,结合我省实际,制定《陕西省普通高中学业水平选择性考试科目赋分办法(试行)》(以下简称本办法)。一、考试科目及成绩呈现(一)考试科目选择性考试科目包括思想政治、历史、地理、物理、化学、生物学等6
等级分数科目 -
陕西高中学考科目赋分办法(试行)常见问题解答 —掌上高考—中国教育在线
志愿填报指导视频、历年高考真题、双一流院校录取分数线、各地联考试题、高分作文素材、高考各科复习要点……你想要的,全都有!点击即可领取!1、选择性考试包括哪些科目?成绩如何呈现?答:选择性考试科目包括思想政治、历史、地理、物理、化学、生物学等6门科目。学生根据自身兴趣、志向、优势和普通高等学校招生专业选考科目要求,在历史和物理科目中首选1门科目,在其余4门科目中再选2门科目参加选择性考试。选择性考试科目中的物理、历史2门科目成绩以原始分呈现,满分值均为100分。思想政治、地理、化学、生物学等4门科目成绩以原
考生科目等级 -
青海高中学业水平选择性考试科目等级赋分办法政策解读 —掌上高考—中国教育在线
温馨提示:双一流大学2023年各省录取分数线及排名汇总,点击此处,快来看看你能上哪些大学!一、为什么要制定等级赋分办法?答:按照省委、省政府工作部署,自2025年起,我省新高考将采用“3+1+2”模式,其中“3”为全国统考科目语文、数学、外语;“1”为首选科目,考生须在物理、历史科目中选择其中一科;“2”为再选科目,考生可在思想政治、地理、化学、生物学4个科目中选择两科。为使不同考生选择不同科目具有可比性和可加性,确保高考招生录取公平,特制定《青海省普通高中学业水平选择性考试科目等级赋分办法》(以下简称《
考生科目等级 -
四川高中学业水平选考科目等级赋分办法政策解读 —掌上高考—中国教育在线
温馨提示:双一流大学2023年各省录取分数线及排名汇总,点击此处,快来看看你能上哪些大学!问题一:等级赋分的政策依据是什么?答:根据《四川省人民政府关于印发〈四川省深化普通高等学校考试招生综合改革实施方案〉的通知》(川府规〔2022〕4号)精神,高中学业水平选择性考试科目为思想政治、历史、地理、物理、化学、生物6门,考生根据普通高等学校相关专业对选考科目的要求,结合自身兴趣特长,首先从物理、历史2门科目中选择1门作为首选考试科目,再从思想政治、地理、化学、生物4门科目中选择2门作为再选考试科目。选择性考试
等级考生科目 -
山西高中学业水平选择性考试科目赋分办法(试行) —掌上高考—中国教育在线
温馨提示:双一流大学2023年各省录取分数线及排名汇总,点击此处,快来看看你能上哪些大学!根据《山西省深化普通高校考试招生综合改革实施方案》(晋政发〔2022〕15号)和《山西省普通高中学业水平考试实施办法》(晋教〔2022〕6号)文件精神,结合我省实际,制订本办法。一、适用科目普通高中学业水平选择性考试科目为物理、化学、生物学、思想政治、历史、地理6门,首选科目物理、历史以卷面原始分直接计入考生总成绩,再选科目化学、生物学、思想政治、地理以等级转换分计入考生总成绩。二、转换规则某一选择性考试再选科目的考
考生等级科目 -
山西高中学业水平选择性考试科目赋分办法(试行) —掌上高考—中国教育在线
温馨提示:双一流大学2023年各省录取分数线及排名汇总,点击此处,快来看看你能上哪些大学!根据《山西省深化普通高校考试招生综合改革实施方案》(晋政发〔2022〕15号)和《山西省普通高中学业水平考试实施办法》(晋教〔2022〕6号)文件精神,结合我省实际,制订本办法。一、适用科目普通高中学业水平选择性考试科目为物理、化学、生物学、思想政治、历史、地理6门,首选科目物理、历史以卷面原始分直接计入考生总成绩,再选科目化学、生物学、思想政治、地理以等级转换分计入考生总成绩。二、转换规则某一选择性考试再选科目的考
考生等级科目 -
山西高中学业水平选择性考试科目赋分办法(试行) —掌上高考—中国教育在线
温馨提示:双一流大学2023年各省录取分数线及排名汇总,点击此处,快来看看你能上哪些大学!根据《山西省深化普通高校考试招生综合改革实施方案》(晋政发〔2022〕15号)和《山西省普通高中学业水平考试实施办法》(晋教〔2022〕6号)文件精神,结合我省实际,制订本办法。一、适用科目普通高中学业水平选择性考试科目为物理、化学、生物学、思想政治、历史、地理6门,首选科目物理、历史以卷面原始分直接计入考生总成绩,再选科目化学、生物学、思想政治、地理以等级转换分计入考生总成绩。二、转换规则某一选择性考试再选科目的考
考生等级科目 -
山西高中学业水平选择性考试科目赋分办法(试行) —掌上高考—中国教育在线
温馨提示:双一流大学2023年各省录取分数线及排名汇总,点击此处,快来看看你能上哪些大学!根据《山西省深化普通高校考试招生综合改革实施方案》(晋政发〔2022〕15号)和《山西省普通高中学业水平考试实施办法》(晋教〔2022〕6号)文件精神,结合我省实际,制订本办法。一、适用科目普通高中学业水平选择性考试科目为物理、化学、生物学、思想政治、历史、地理6门,首选科目物理、历史以卷面原始分直接计入考生总成绩,再选科目化学、生物学、思想政治、地理以等级转换分计入考生总成绩。二、转换规则某一选择性考试再选科目的考
考生等级科目 -
山西高中学业水平选择性考试科目赋分方法 —掌上高考—中国教育在线
温馨提示:双一流大学2023年各省录取分数线及排名汇总,点击此处,快来看看你能上哪些大学!根据《山西省深化普通高校考试招生综合改革实施方案》(晋政发〔2022〕15号)和《山西省普通高中学业水平考试实施办法》(晋教〔2022〕6号)文件精神,结合我省实际,制订本办法。一、适用科目普通高中学业水平选择性考试科目为物理、化学、生物学、思想政治、历史、地理6门,首选科目物理、历史以卷面原始分直接计入考生总成绩,再选科目化学、生物学、思想政治、地理以等级转换分计入考生总成绩。二、转换规则某一选择性考试再选科目的考
考生等级科目 -
河南省普通高中学业水平选择性考试科目等级赋分办法 —掌上高考—中国教育在线
温馨提示:双一流大学2023年各省录取分数线及排名汇总,点击此处,快来看看你能上哪些大学!根据《教育部关于普通高中学业水平考试的实施意见》(教基二〔2014〕10号)、《河南省人民政府关于印发河南省深化普通高等学校考试招生综合改革实施方案的通知》(豫政〔2022〕22号)精神,制定本办法。一、等级赋分办法适用科目及实施范围等级赋分办法适用于我省普通高中学业水平考试的思想政治、地理、化学和生物学4门选择性考试科目。学生根据普通高等学校招生专业选考科目要求,结合自身兴趣特长,在4门科目中选择2门作为选择性考试
等级考生分数 -
广西2024年高校招生考试外语口试考试成绩形式和查询方式 —掌上高考—中国教育在线
温馨提示:双一流大学2023年录取分数线汇总,点击此处下载,来看看你能上哪些大学!考生卷面分数为百分制,成绩统一采用等级制,共分为A、B、C、D、E五个等级:85分及以上为A等级;70分~84分为B等级;55分~69分为C等级;40分~54分为D等级;39分及以下为E等级。考生成绩当年有效,不计入高考总成绩,以等级形式在考生高考档案中呈现,提供给招生院校作为招收外语专业或其他要求进行外语口试专业考生的参考。考生可于4月15日16:30起,登录“广西招生考试院”网站的“系统导航”—“成绩查询”栏目查询外语口
等级温馨提示考生 -
2024九省联考何时查分?新高考是如何赋分的? —掌上高考—中国教育在线
温馨提示:双一流大学2023年录取分数线汇总,点击此处下载,来看看你能上哪些大学!2024年九省联考于21日圆满落下帷幕,考试结束后很多考生家长都很关心成绩何时出?新高考下是如何赋分的?如何做好试卷分析真正做到查漏补缺等问题,掌上高考今日就来一一为大家解答,参与本次联考及2024届考生家长重点关注!各省哪天能查分?01评卷、查分、模拟录取时间江西:评卷工作在2024年春节前完成。考生可于2024年2月底前查询本人适应性演练考试文化成绩。2024年4月20日-23日左右,组织考生模拟志愿填报工作。适应性演练
考生等级成绩 -
石家庄外国语学校2024年高中选拔推荐保送生办法 —掌上高考—中国教育在线
温馨提示:双一流大学2023年录取分数线汇总,点击此处下载,来看看你能上哪些大学!学校根据教育部高校学生司《关于做好2024年部分外国语中学推荐保送生工作的通知》(教学司〔2023〕14号)和河北省教育厅(冀教学函〔2023〕35号)通知精神,严格按照“公平、公正、公开”的原则,结合我校实际制定如下选拨推荐保送生办法:一、原则本着“公平公正、公开透明、程序明确”的原则,学校对符合基本条件的应届高中毕业生进行综合素质评价积分排名,按照综合排名顺序和教育部2024年保送推荐限额,等额选拔确定保送生推荐资格,并
石家庄等级外国语学校 -
2023广西高考外语口试成绩查询方式及入口:https://www.gxeea.cn
温馨提示:2023年高考进入倒计时,点击下载掌上高考app,获取各省历年真题、真题答案、详细解析。查分数、查专业、一键填报志愿。助力高考,金榜题名!2023广西高考外语口试成绩查询方式及入口:https://www.gxeea.cn4月12日16:30起,已参加广西区2023年普通高校招生外语口试的考生可登录“广西招生考试院”网站(https://www.gxeea.cn/)的“系统导航—成绩查询”栏目查询考试成绩。进入:2023年广西高考外语口试成绩查询官网入口成绩等级划分考生卷面分数为百分制,成绩统一
等级口试广西 -
2023年上海学业水平考试报名问答
温馨提示:2023年高考进入倒计时,点击下载掌上高考app,获取各省历年真题、真题答案、详细解析。查分数、查专业、一键填报志愿。助力高考,金榜题名!一、考试报名1.2023年5月等级性考试和6月合格性考试什么时候进行?5月等级性考试安排如下:考试日期考试时间等级性考试科目5月6日(星期六)9:00—10:00化学13:00—14:00思想政治15:30—16:30物理5月7日(星期日)9:00—10:00历史13:00—14:00地理15:30—16:30生物学6月合格性考试安排如下:考试日期考试时间合格
等级科目考生 -
安徽省2022年12月普通高中学业水平考试成绩等级查询官方入口:http://cx.ahzsks.cn
温馨提示:关注【掌上高考APP官方】公众号,回复【真题】获取2022年各省高考真题(word版)汇总安徽省2022年12月普通高中学业水平考试评卷、等级划分工作已经顺利完成。即日起,考生可登录安徽省教育招生考试院网站(http://cx.ahzsks.cn)或微信公众号(招考服务——信息查询)查询成绩等级。考生如对成绩等级有疑义,可于2023年2月6日至8日持有效证件到各市招生考试机构指定地点申请成绩复核,逾期不予受理。成绩复核结果由各市通知考生。
安徽省等级成绩
点击此处进入安徽省2022年12月普通高中学业水平考试成 -
贵州:关于公布《贵州省普通高中学业水平选择性考试科目等级赋分办法》的公告
温馨提示:2023年学业水平合格性考试报名已经陆续开始,关注【掌上高考app官方】微信公众号,回复关键词【合格考】获取《各省历年学考真题及答案》。现将《贵州省普通高中学业水平选择性考试科目等级赋分办法》公布如下:根据《教育部关于普通高中学业水平考试的实施意见》(教基二〔2014〕10号)《省人民政府关于印发的通知》(黔府发〔2016〕9号)《省人民政府关于印发贵州省高考综合改革实施方案的通知》(黔府发〔2021〕10号)精神,制定本办法。一、等级赋分办法适用科目及实施范围等级赋分办法适用于我省普通高中学业
等级卷面考生 -
2022年新高考成绩看原始分还是赋分
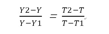
新高考成绩按等级赋分。新高考规定思想政治,历史地理物理,化学生物6个科目同时设等级性考试,成绩按等级赋分,此等级赋分制只针对新高考制度下的选考科目,统考科目语文数外仍按卷面分计算。1新高考等级赋分怎么算分有专门的等级赋分计算公式:(Y2-Y1)/(Y-Y1)=(T2-X)/(X-T1)其中:Y1:表示某等级内所有考生原始成绩区间的下限;Y2:表示某等级内所有考生原始成绩区间的上限;T1:表示相应等级的赋分区间的下限;T2:表示相应等级的赋分区间的上限;Y:表示考生的原始成绩;X:表示考生转换后的等级成绩。
考生等级成绩 -
天津:2021高考报名人数约5.6万
从天津市教育招生考试院获悉,天津市2021年普通高考于6月7日、8日举行,普通高中学业水平等级性考试将于6月9日、10日举行。天津市今年高考报名考生约为5.6万人,全市共设有16个考区、66个常规考点、1900余个常规考场。今年是天津市新高考改革的第二年,继续实行文理不分科,高考和等级考的成绩一同计入高校招生录取总成绩。
天津市常规等级 -
天津:2021年高考普通本科录取控制分数线463分
天津市公布2021年普通本科录取控制分数线:463分2021年是我市高考改革的巩固之年,继续实行“两依据、一参考”的招生录取模式,高考总成绩由普通高考和普通高中学业水平等级性考试构成。根据教育部有关规定,市招生委员会原则上按照招生计划数的100%划定本市普通本科(含提前本科批次A、B阶段,普通本科批次A、B阶段)录取控制分数线。2021年我市普通本科录取控制分数线为463分。2021年高考及等级考各学科平均成绩高考科目平均分为,语文105.9分(去年105.25分);数学100.62分(去年110.78分
分数线等级普通本科

微信收款码
支付宝收款码