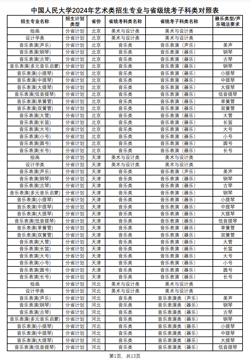
中国人民大学2024年艺术类招生专业与省级统考子科类对照表
2023-10-24 06:59:40高考动态
温馨提示:双一流大学2023年录取分数线汇总,点击此处下载,来看看你能上哪些大学!根据教育部相关文件规定,经各省级招生考试机构审核通过,现发布我校2024年艺术类招生专业与省级统考子科类对照表。(点击下方附件,查看完整版对照表)中国人民大学2024年艺术类招生专业与省级统考子科类对照表.pdf注:我校艺术类招生专业和分省招生计划以后期发布的2024年招生简章为准,请考生关注我校阳光招生信息平台(https://rdzs.ruc.edu.cn)。
温馨提示:双一流大学2023年录取分数线汇总,点击此处下载,来看看你能上哪些大学!
根据教育部相关文件规定,经各省级招生考试机构审核通过,现发布我校2024年艺术类招生专业与省级统考子科类对照表。

(点击下方附件,查看完整版对照表)
中国人民大学2024年艺术类招生专业与省级统考子科类对照表.pdf
注:我校艺术类招生专业和分省招生计划以后期发布的2024年招生简章为准,请考生关注我校阳光招生信息平台(https://rdzs.ruc.edu.cn)。
很赞哦! ()
微信收款码
支付宝收款码