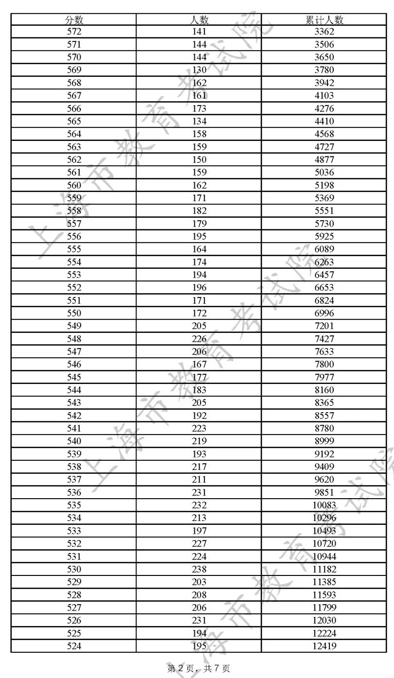
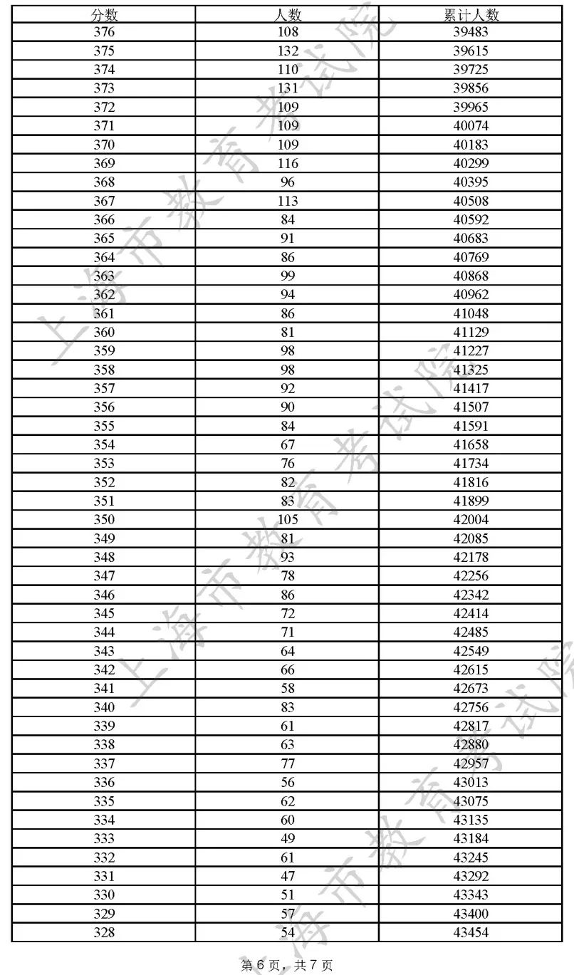
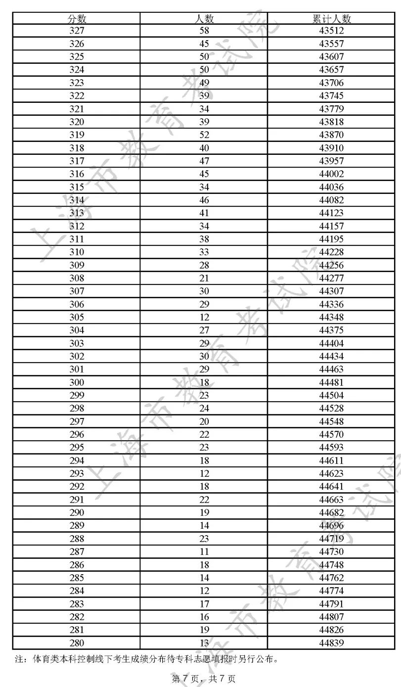
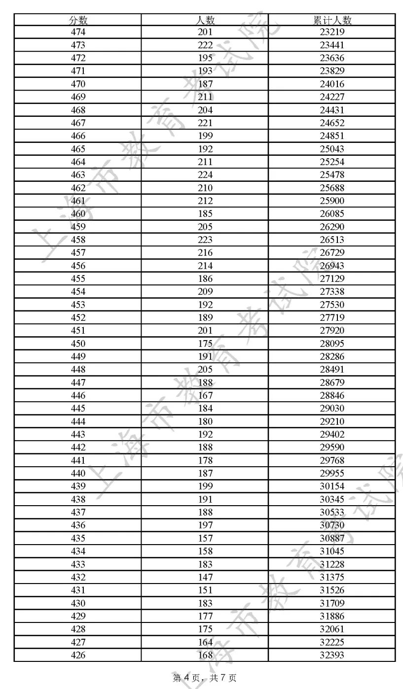
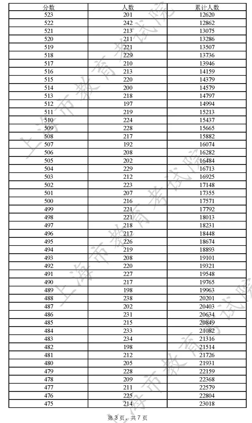
您现在的位置是:首页 > 学历教育 > 高考动态 高考动态 上海:2022年高考各类别成绩分布表 上海市 成绩 jpg 2022-07-23 18:18:12高考动态 上海市2022年高考各类别成绩分布表公布! 上海市2022年高考各类别成绩分布表公布! ◐◐◐◐●☛█▼▲东方金报网███████东方金报http://www.dfjb.net▼▲▼▲▼▲▼▲▼●●●●●●●▼▲▼▲▼▲ 很赞哦! () 扫描关注成功教育网微信公众号,第一时间获取成功教育网更新动态 转载请说明来源于"成功教育网" 本文地址:https://www.succedu.com/jiaoyuzixun/gaokaozhengce/62206.html 上一篇 贵州:2022年高考第一批本科院校征集志愿投档情况 贵州省2022年高考第一批本科院校征集志愿投档情况公布! 理工类文史类 相关文章 为什么努力成绩却提高不了?上海:7月23日公布高考成绩如何解决成绩一直往下掉?高三一模以后成绩还能提升吗 ?2022年新高考成绩看原始分还是赋分内蒙古:2022年5月份学业水平考试成绩今日(8日)可查有哪些方法最短的时间提高成绩?高三高效提高成绩方法提高文科的成绩有哪些方法?高三考生提高成绩的三个阶段 文章评论