jpg
-
宁夏:关于查询2023年普通高校招生艺术类专业统考成绩的通知
jpgstyleimg -
湖南:2023年高考网上报名系统操作指南(APP版)
widthjpgpx
-
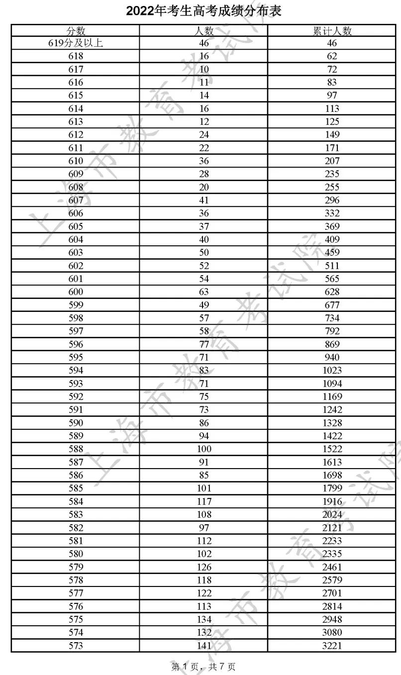
上海:2022年高考各类别成绩分布表
上海市2022年高考各类别成绩分布表公布!
上海市成绩jpg -
武汉音乐学院:2022年普通本科招生专业和各省统考子科类对照表
srctitlejpg -
吉林:2022年普通高等学校招生全国统一考试报名工作通知
srcjpgwidth -
2021浙江高考成绩分数段表
jpgstyleborder -
一图了解2021年空军招飞
一图了解2021年空军招飞
空军招飞jpg -
一图看懂《安徽省关于进一步调整和规范高考加分工作的实施方案》
jpgstyleimg -
广东:2020年高考录取本科征集志愿投档情况公布
jpgtitlewidth

微信收款码
支付宝收款码