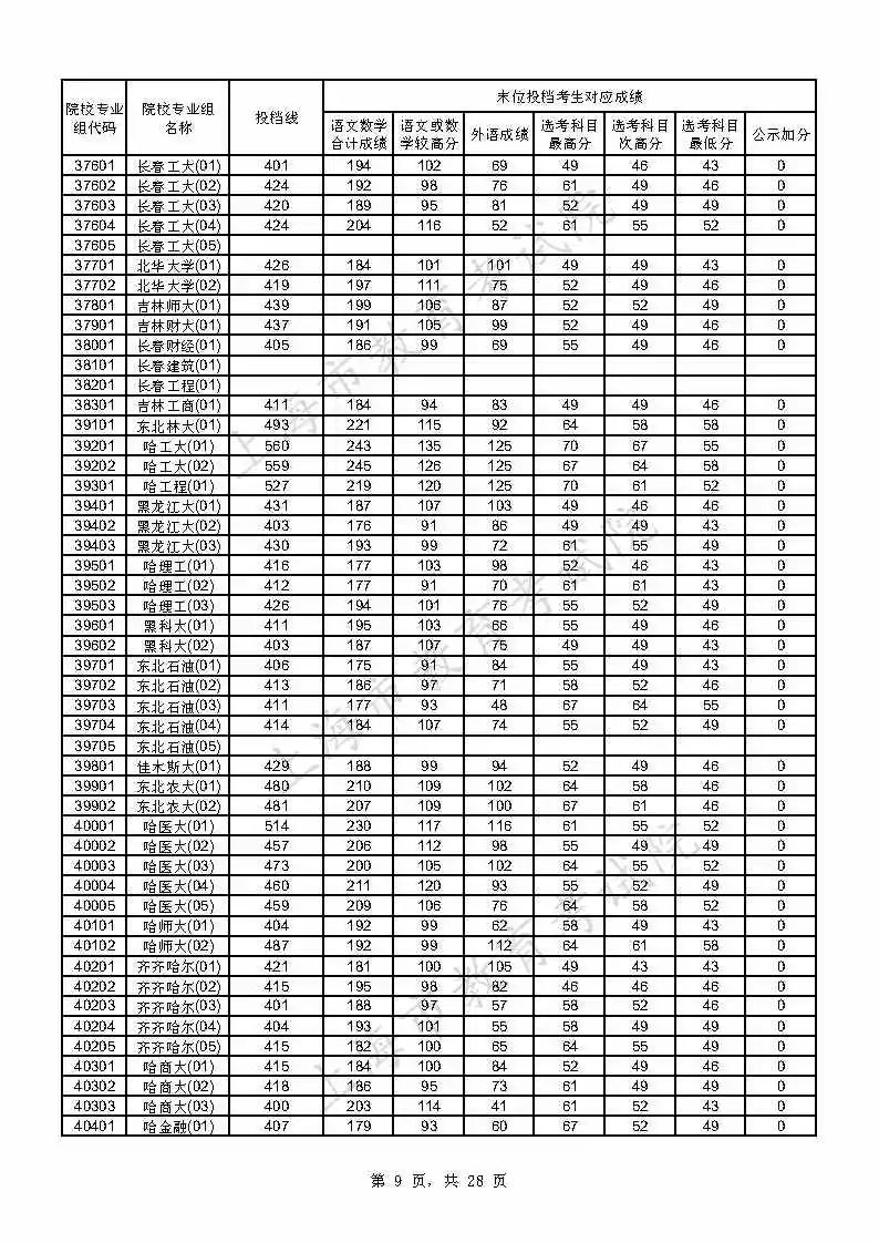
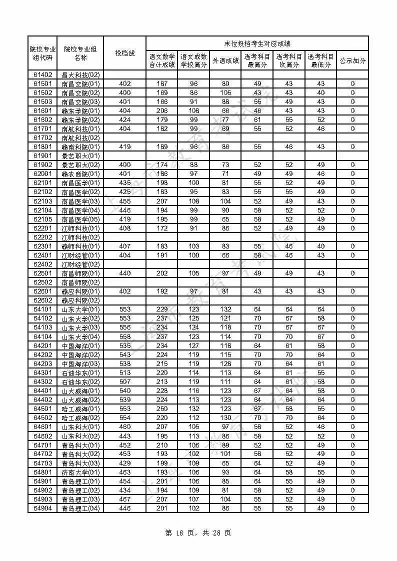
上海:2021年本科普通批投档线
为贯彻落实教育部关于做好普通高考招生录取工作的有关要求,积极营造尊重考生兴趣选择的良好导向,避免发生炒作高分段考生投档情况等现象,本市自2020年起不再分校公布本科普通批次高分段院校专业组投档线。2021年对此类投档线继续统一表述为“580分及以上”,相关院校专业组包括:复旦大学(01)、复旦大学(02)、复旦大学(03)、复旦大学医学院(01)、上海交通大学(01)、上海交通大学医学院(01)、中国人民大学(01)、中国科技大学(01)等8个专业组。
580分及以上考生的本科普通批投档信息将由市教育考试院会同考生所在中学逐一告知;580分以下考生请对照下表结合本人志愿填报情况自行判断投档去向(部分院校Q组投档结果另行公布)。

1

2

3

4

5

6

7

8

9

10

11

12

13

14

15

16

17

18

19

20

21

22

23

24

25

26

27

28
- 上一篇
四川:2021年普通高校在川招生本科一批院校调档线
四川省2021年普通高校招生本科一批已于昨日投档。为方便广大考生和家长及时了解录取信息,省教育考试院按文、理科发布了今年普通高校在川招生本科一批院校调档线。理科12345678910111213141516文科17181920212223242526
- 下一篇
江苏:2021年高招普通类本科批次填报征求志愿通告
一、填报征求志愿时间、办法及招生计划江苏省2021年普通高校招生普通类本科批次填报征求志愿时间为7月23日9:00-15:00。考生须在上述时间内凭考籍号、身份证号、密码和动态口令卡网上填报征求志愿,并对自己所填报信息的真实性和准确性负责,不需要现场签字确认志愿信息。本次征求志愿计划详见《江苏省2021年普通高校招生普通类本科批次征求志愿计划》(考生可登录省教育考试院门户网站www.jseea.cn浏览或下载)。本次填报征求志愿的对象为历史等科目类总分不低于476分、物理等科目类总分不低于417分,且选考
微信收款码
支付宝收款码