山西高中学业水平选择性考试科目赋分办法(试行) —掌上高考—中国教育在线
温馨提示:双一流大学2023年各省录取分数线及排名汇总,点击此处,快来看看你能上哪些大学!
根据《山西省深化普通高校考试招生综合改革实施方案》(晋政发〔2022〕15号)和《山西省普通高中学业水平考试实施办法》(晋教〔2022〕6号)文件精神,结合我省实际,制订本办法。
一、适用科目
普通高中学业水平选择性考试科目为物理、化学、生物学、思想政治、历史、地理6门,首选科目物理、历史以卷面原始分直接计入考生总成绩,再选科目化学、生物学、思想政治、地理以等级转换分计入考生总成绩。
二、转换规则
某一选择性考试再选科目的考生成绩,转换时赋分起点为30分,满分100分。具体转换步骤如下:

第一步,将该科目考生卷面原始分从高到低依次按照15%、35%、35%、13%和2%的比例划分为A、B、C、D、E共5个等级,考生的原始分转换成等级。缺考、零分考生人数不计入转换基数,违纪或作弊考生计入转换基数,但转换后的成绩按零分计。
第二步,将A至E五个等级内的考生原始分,按照等比例转换规则,转换到100~86,85~71,70~56,55~41和40~30五个分数区间,根据转换公式计算,四舍五入取整数得到考生的等级转换分。转换后的成绩一分一档,考生排序不变。

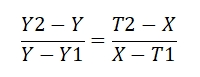
其中:
Y1、Y2分别表示某个等级所对应卷面原始分区间的下限和上限;
T1、T2分别表示相应等级的等级转换分数区间的下限和上限;
Y表示相应等级内某考生的卷面原始分;
X表示相应等级内某考生的等级转换分数。
三、转换示例

假设一个同学思想政治原始成绩为75分,在所有选政治的考生中排在前20%,具体成绩分布如图。
第一步,将该科目所有考生原始分从高到低进行排序,按照规定的等级比例该考生被划定为B等级,该科目B等级原始分区间为61-82(仅是示例,实际各科目各等级原始分区间不固定),即Y1、Y2分别为61和82;
第二步,根据分数转换参数设置,将B等级内该考生的原始分,依照等比例转换方法,转换到71-85区间,即T1、T2分别为71和85,依据转换公式,该考生思想政治科目等级转换分为:

解得,X≈80(四舍五入取整),即该考生思想政治科目等级转换分为80分。
四、其他事项
本办法自2022年秋季入学的普通高中一年级学生参加2025年首次学业水平选择性考试时开始实施。
相关文章
- 山西高中学业水平选择性考试科目赋分办法(试行) —掌上高考—中国教育在线
- 山西高中学业水平选择性考试科目赋分方法 —掌上高考—中国教育在线
- 一图帮你详细解读山西省高考综合改革等级赋分 —掌上高考—中国教育在线
- 河南省普通高中学业水平选择性考试科目等级赋分办法 —掌上高考—中国教育在线
- 海南2024年高中学业水平合格性考试语文、数学、英语科目报名公告 —掌上高考—中国教育在线
- 海南2024年高中学业水平合格性考试语文、数学、英语科目报名公告 —掌上高考—中国教育在线
- 冲刺高考!3-6月考生和家长如何布局,一起撑过难熬时刻? —掌上高考—中国教育在线
- 冲刺高考!3-6月考生和家长如何布局,一起撑过难熬时刻? —掌上高考—中国教育在线
- 安徽高考分析:2023年考生模拟志愿填报特点 —掌上高考—中国教育在线
- 安徽高考分析:安徽考生上双一流大学难吗? —掌上高考—中国教育在线
微信收款码
支付宝收款码