2024年新高考九省联考化学答案(江西省) —掌上高考—中国教育在线
2024-01-31 11:41:59高考动态
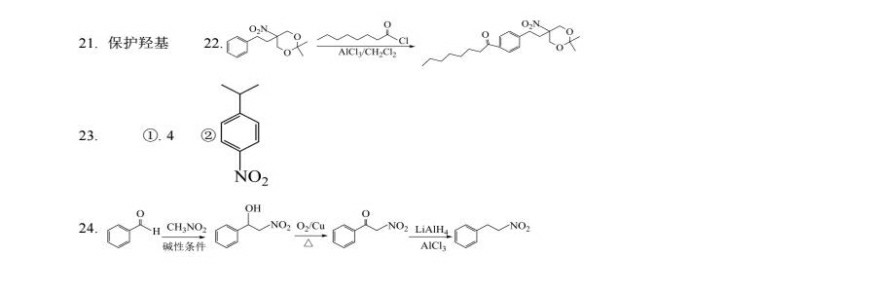
温馨提示:双一流大学2023年录取分数线汇总,点击此处下载,来看看你能上哪些大学!2024新高考七省联考于2024年1月19日开考,此外河南、新疆也加入联考,也可称为九省联考。本次联考语、数、外三科由教育部提供,采用相同试题,选考科目样卷由省教育考试院自行命题。掌上高考收集到江西化学答案,供大家参考。
温馨提示:双一流大学2023年录取分数线汇总,点击此处下载,来看看你能上哪些大学!
2024新高考七省联考于2024年1月19日开考,此外河南、新疆也加入联考,也可称为九省联考。本次联考语、数、外三科由教育部提供,采用相同试题,选考科目样卷由省教育考试院自行命题。掌上高考收集到江西化学答案,供大家参考。



很赞哦! ()
相关文章
- 2024年新高考九省联考政治答案(江西省) —掌上高考—中国教育在线
- 2024年新高考九省联考政治试题参考答案(江西) —掌上高考—中国教育在线
- 2024年新高考九省联考生物试题及答案解析(广西) —掌上高考—中国教育在线
- 2024年新高考九省联考历史试题及答案解析(广西) —掌上高考—中国教育在线
- 2024年新高考九省联考化学试题及答案解析(甘肃) —掌上高考—中国教育在线
- 2024年新高考九省联考政治试题及答案解析(甘肃) —掌上高考—中国教育在线
- 2024年新高考九省联考物理试题及答案解析(广西) —掌上高考—中国教育在线
- 2024年新高考九省联考政治试题(安徽) —掌上高考—中国教育在线
- 2024年新高考九省联考生物试题参考答案(安徽) —掌上高考—中国教育在线
- 2024年新高考九省联考化学试题(江西) —掌上高考—中国教育在线
微信收款码
支付宝收款码