成功教育

您现在的位置是:首页 > 学历教育 > 高考动态

高考动态

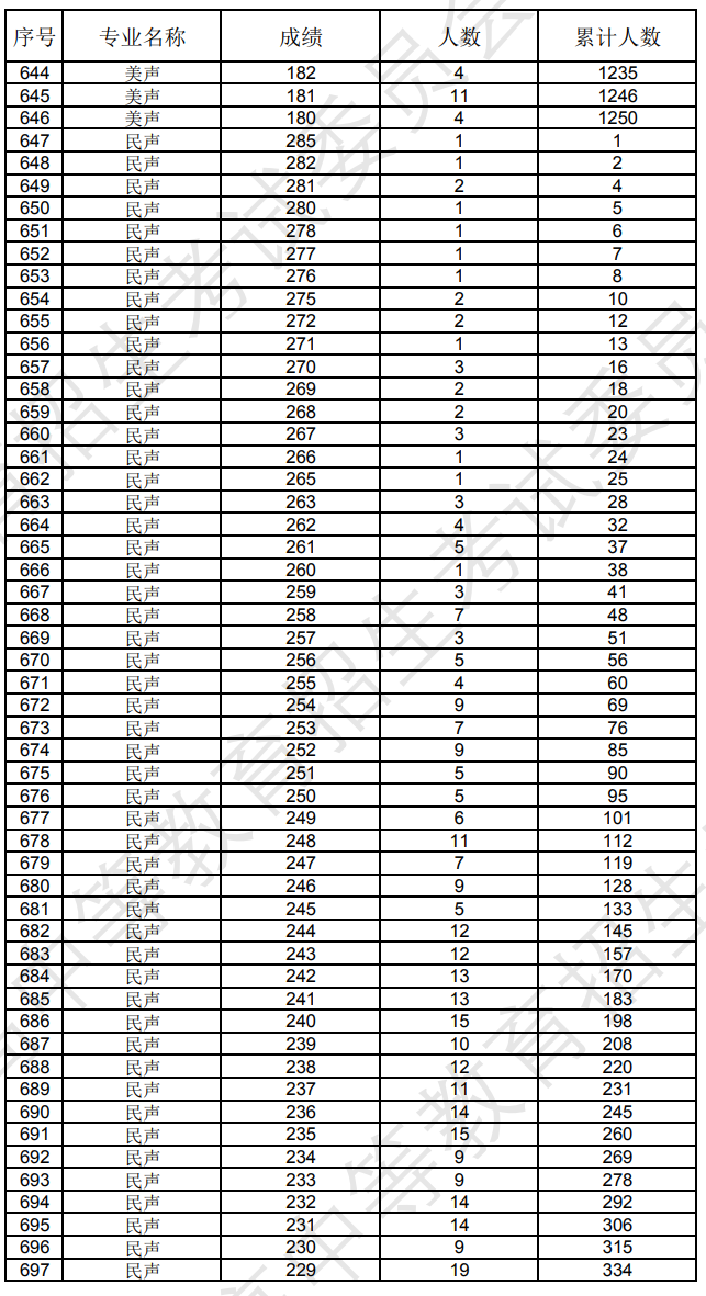
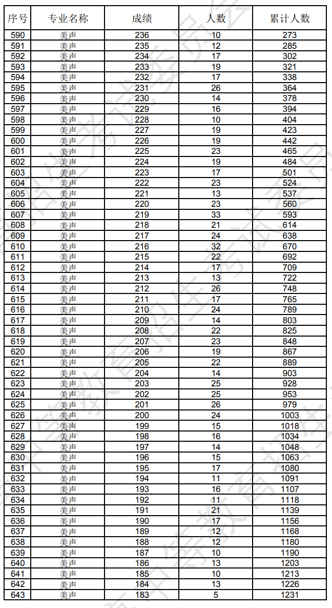
辽宁2024年艺术类专业统考音乐表演成绩统计表 —掌上高考—中国教育在线

2024-01-10 22:19:38高考动态
温馨提示:双一流大学2023年录取分数线汇总,点击此处下载,来看看你能上哪些大学!

温馨提示:双一流大学2023年录取分数线汇总,点击此处下载,来看看你能上哪些大学!

辽宁2024年艺术类专业统考音乐表演成绩统计表 辽宁2024年艺术类专业统考音乐表演成绩统计表 辽宁2024年艺术类专业统考音乐表演成绩统计表 辽宁2024年艺术类专业统考音乐表演成绩统计表 辽宁2024年艺术类专业统考音乐表演成绩统计表 辽宁2024年艺术类专业统考音乐表演成绩统计表 辽宁2024年艺术类专业统考音乐表演成绩统计表 辽宁2024年艺术类专业统考音乐表演成绩统计表 辽宁2024年艺术类专业统考音乐表演成绩统计表 辽宁2024年艺术类专业统考音乐表演成绩统计表 辽宁2024年艺术类专业统考音乐表演成绩统计表 辽宁2024年艺术类专业统考音乐表演成绩统计表 辽宁2024年艺术类专业统考音乐表演成绩统计表 辽宁2024年艺术类专业统考音乐表演成绩统计表 辽宁2024年艺术类专业统考音乐表演成绩统计表 辽宁2024年艺术类专业统考音乐表演成绩统计表 辽宁2024年艺术类专业统考音乐表演成绩统计表 辽宁2024年艺术类专业统考音乐表演成绩统计表HTTP://WWW.dfjb.net豪仕法律网网采集不好玩哦◐◐◐◐◐◐◐◐◐◐◐◐◐◐◐◐◐◐◐◐◐◐◐◐◐◐◐◐◐◐撒旦法师打发斯蒂芬

文章评论