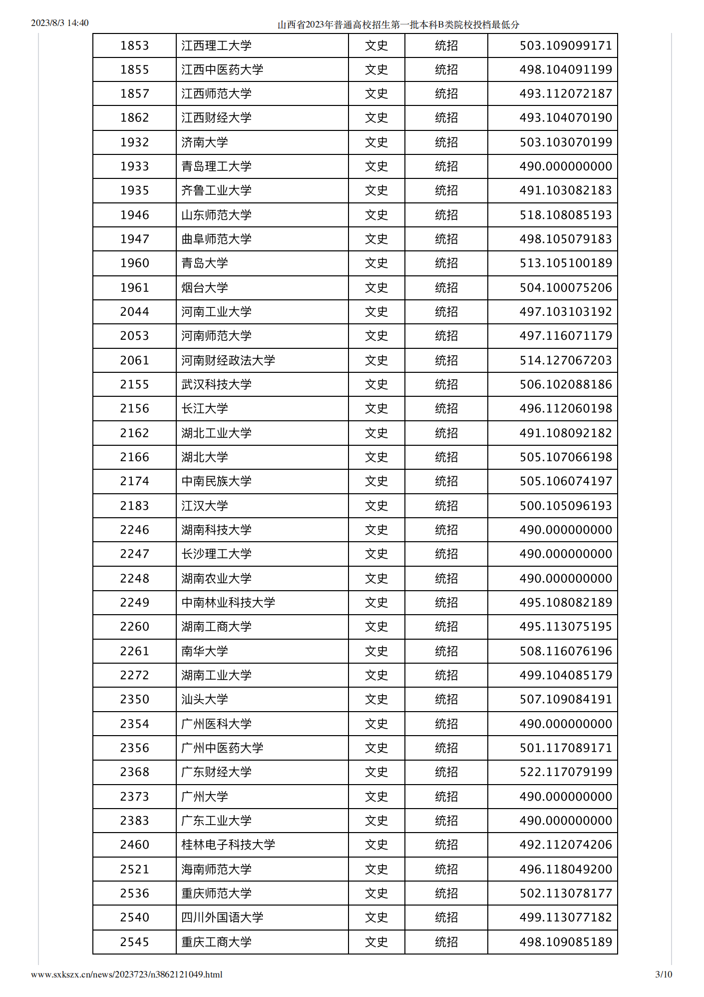
您现在的位置是:首页 > 学历教育 > 高考动态 高考动态 山西2023年高招本科一批B类院校投档最低分 山西省 投档 低分 2023-08-03 18:20:21高考动态 温馨提示:模拟志愿填报用掌上高考,一键生成“冲-稳-保”志愿。点击此处,开始精准填报吧! & 下载新生资料包(提前布局大学规划)山西2023年高招本科一批B类院校投档最低分公布,具体分数情况如下: 温馨提示:模拟志愿填报用掌上高考,一键生成“冲-稳-保”志愿。点击此处,开始精准填报吧! & 下载新生资料包(提前布局大学规划) ◐◐◐◐●☛█▼▲东豪仕法律HTtp://Www.df79110et◐◐◐◐●☛█▼▲◐◐◐◐●☛█▼▲ 山西2023年高招本科一批B类院校投档最低分公布,具体分数情况如下: ◐◐◐◐●☛█▼▲◐◐◐◐●☛█▼▲HtTp://wWW.dfjb.net东方豪仕法律网●●●●●●●●●●●●●●●●●●●●● ◐◐◐◐●☛█▼▲东方金报网███████东方金报http://www.dfjb.net▼▲▼▲▼▲▼▲▼●●●●●●●▼▲▼▲▼▲ 很赞哦! () 扫描关注成功教育网微信公众号,第一时间获取成功教育网更新动态 转载请说明来源于"成功教育网" 本文地址:https://www.succedu.com/jiaoyuzixun/gaokaozhengce/66335.html 上一篇 山西2023年高招本科一批AI类院校投档最低分 温馨提示:模拟志愿填报用掌上高考,一键生成“冲-稳-保”志愿。点击此处,开始精准填报吧! & 下载新生资料包(提前布局大学规划)山西2023年高招本科一批AI类院校投档最低分公布,具体分数情况如下: 相关文章 山西2023年高招本科一批AI类院校投档最低分广东2023年高考专科批投档分数线山东2023年普通类常规批第3次志愿投档情况表山东2023年普通类常规批第2次志愿投档情况表山东省2023年艺术类专科批第2次志愿投档情况表山东省2023年体育类常规批第3次志愿投档情况表重庆2023年高招本科批第三次征集投档表(历史类)重庆2023年高招本科批第三次征集投档表(物理类)重庆2023年高招本科批第二次征集投档表重庆2023年高招本科批首次征集投档分数线 文章评论