广西2023年普通高校招生专项计划批最低投档分数线
2023-07-13 18:20:16高考动态
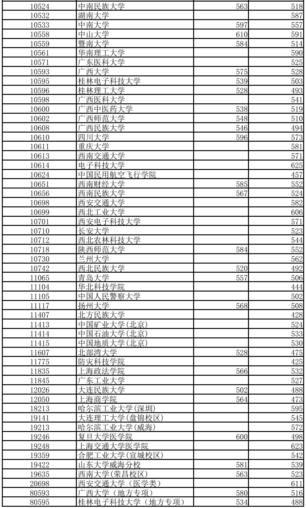
温馨提示:模拟志愿填报用掌上高考,一键生成“冲-稳-保”志愿。点击此处,开始精准填报吧! & 下载志愿填报资料包(含历年高考真题、分段表、投档线)广西2023年普通高校招生专项计划批最低投档分数线公布!说明:表中空白处表示无相应科类招生计划或无出档考生。
温馨提示:模拟志愿填报用掌上高考,一键生成“冲-稳-保”志愿。点击此处,开始精准填报吧! & 下载志愿填报资料包(含历年高考真题、分段表、投档线)
广西2023年普通高校招生专项计划批最低投档分数线公布!
说明:表中空白处表示无相应科类招生计划或无出档考生。




很赞哦! ()
微信收款码
支付宝收款码