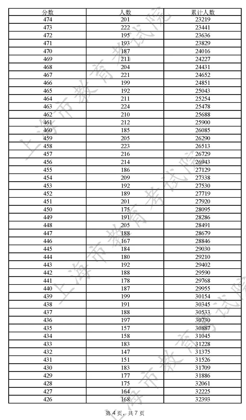
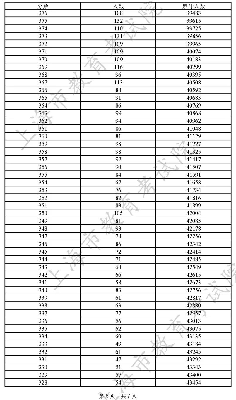
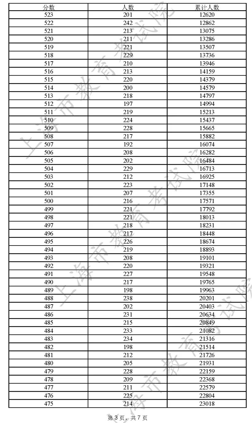
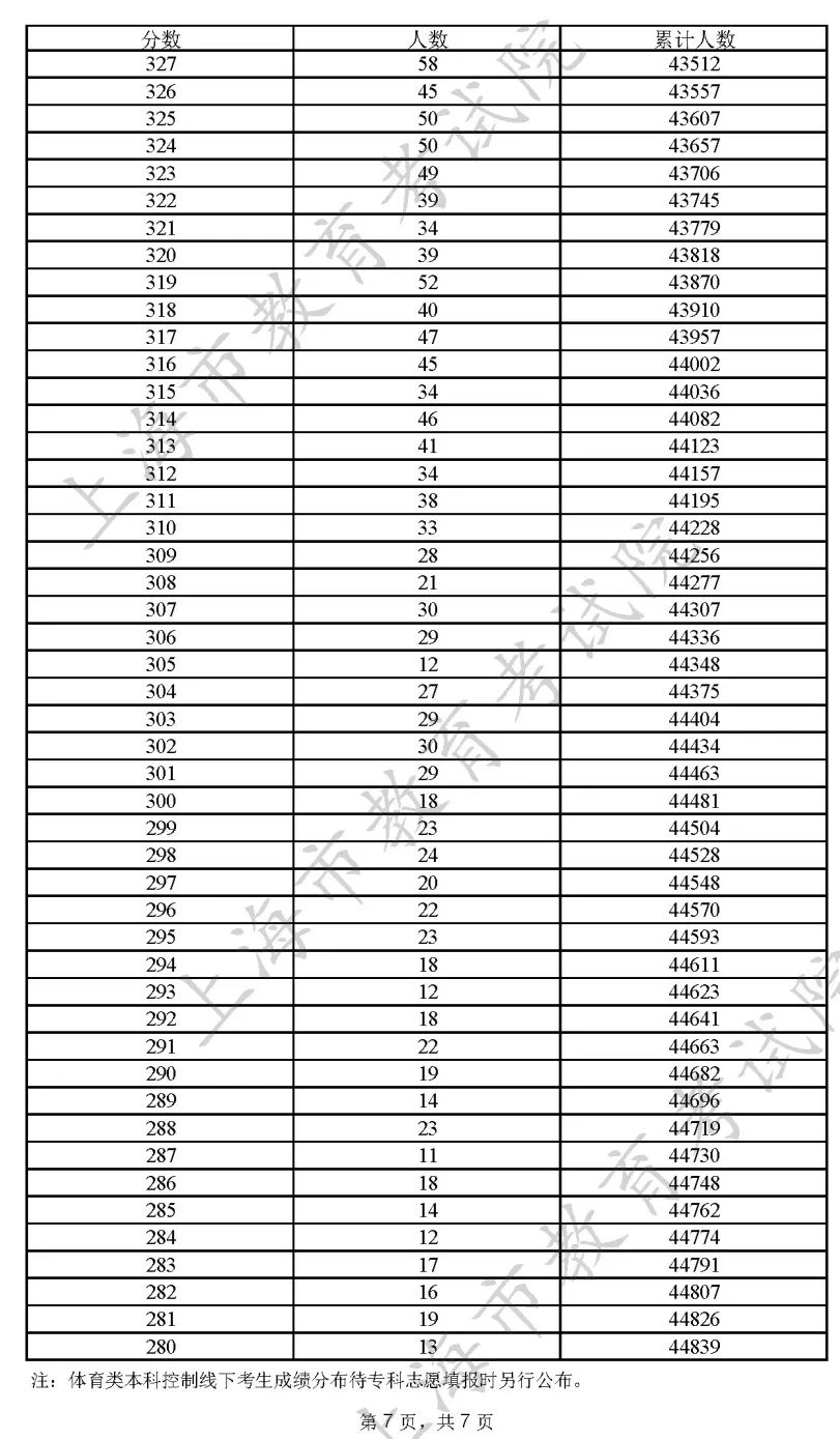
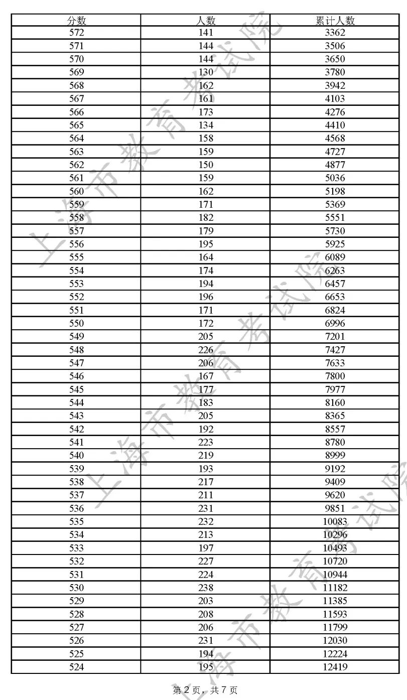
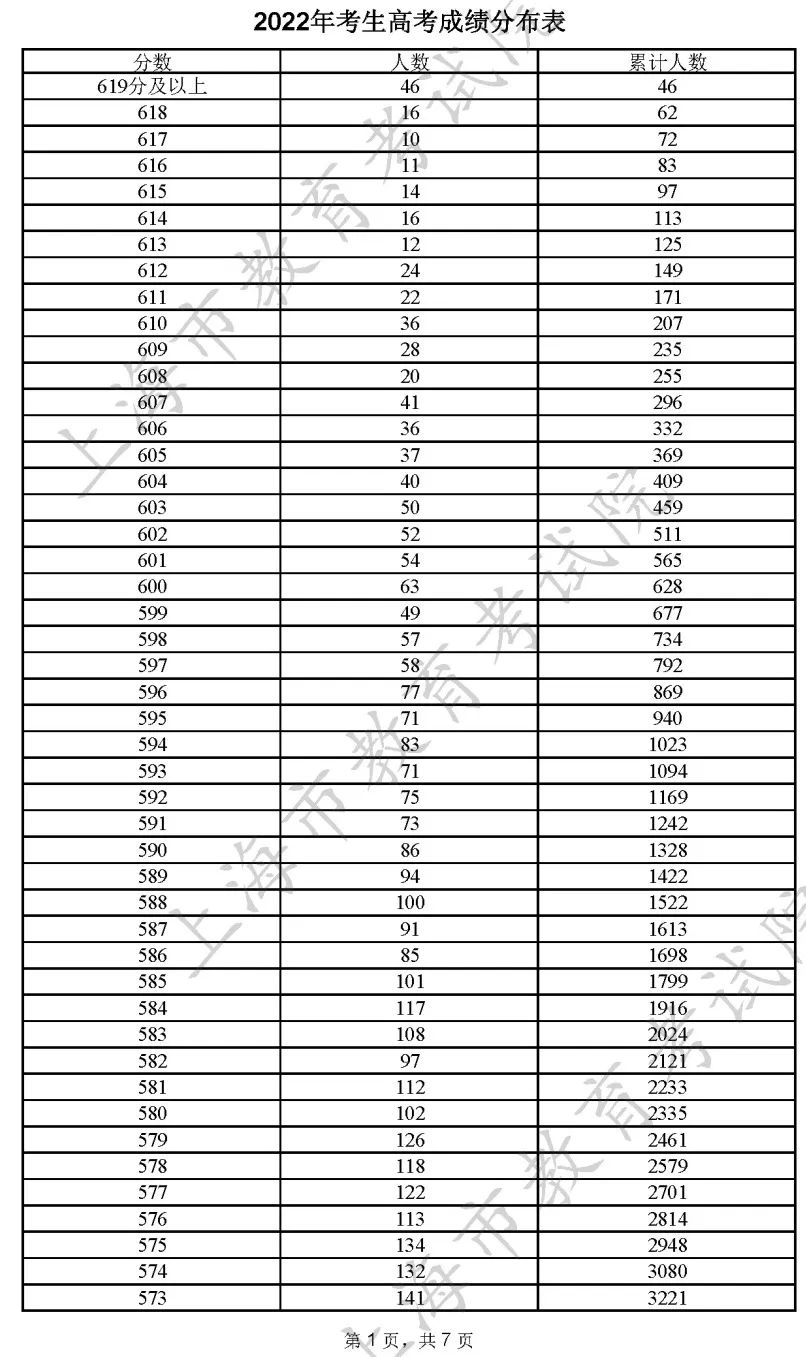
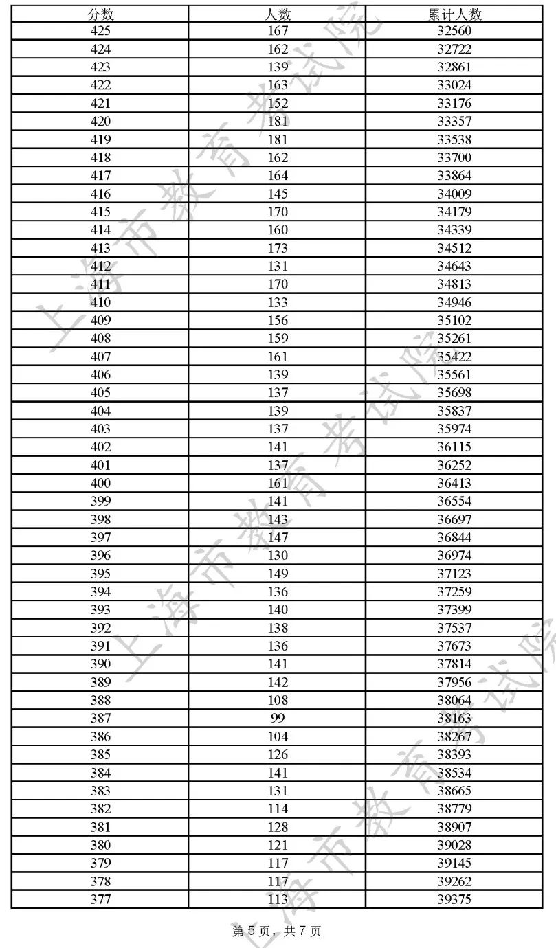
您现在的位置是:首页 > 学历教育 > 高考动态 高考动态 2023年志愿填报参考:2022年上海高考一分一段表 温馨提示 金榜题名 点击下载 2023-06-19 22:20:09高考动态 温馨提示:不懂志愿填报怎么办?点击此处,一键智能填报! & 下载志愿填报必备资料(含三年投档线、分段表、填报攻略)上海市2022年高考各类别成绩分布表公布! 温馨提示:不懂志愿填报怎么办?点击此处,一键智能填报! & 下载志愿填报必备资料(含三年投档线、分段表、填报攻略) 上海市2022年高考各类别成绩分布表公布! ◐◐◐◐●☛█▼▲◐◐◐◐●☛█▼▲◐◐◐◐●☛█▼▲东方金豪仕法律网WWW.dfjb.ne79110▲▼▲▼▲▼▲▼▲▼▲▼▲▼▲ 很赞哦! () 扫描关注成功教育网微信公众号,第一时间获取成功教育网更新动态 转载请说明来源于"成功教育网" 本文地址:https://www.succedu.com/jiaoyuzixun/gaokaozhengce/65539.html 上一篇 2023年志愿填报参考:2022年宁夏高考一分一段表 温馨提示:不懂志愿填报怎么办?点击此处,一键智能填报! & 下载志愿填报必备资料(含三年投档线、分段表、填报攻略)2022年宁夏普通高考总分一分段统计表 2022年宁夏普通高考总分一分段统计表(文史类) 相关文章 辽宁省2023年高考温馨提示2023年北京高考考前温馨提示2023年海南省高考考前温馨提示安徽省2023年普通高考温馨提示(一)天津:2023年高考考生温馨提示(一):考试早知道2023年天津高职分类考试及高职升本科考试温馨提示2023年天津体育单招文化考试考前温馨提示新疆2023年高考体检工作温馨提示2023年贵州体育单招文化考试温馨提示2023年北京高考第二次英语听说机考温馨提示 文章评论