甘肃:2022年普招高职(专科)批普通类(R段)院校投档最低分
2022-08-16 18:18:56高考动态
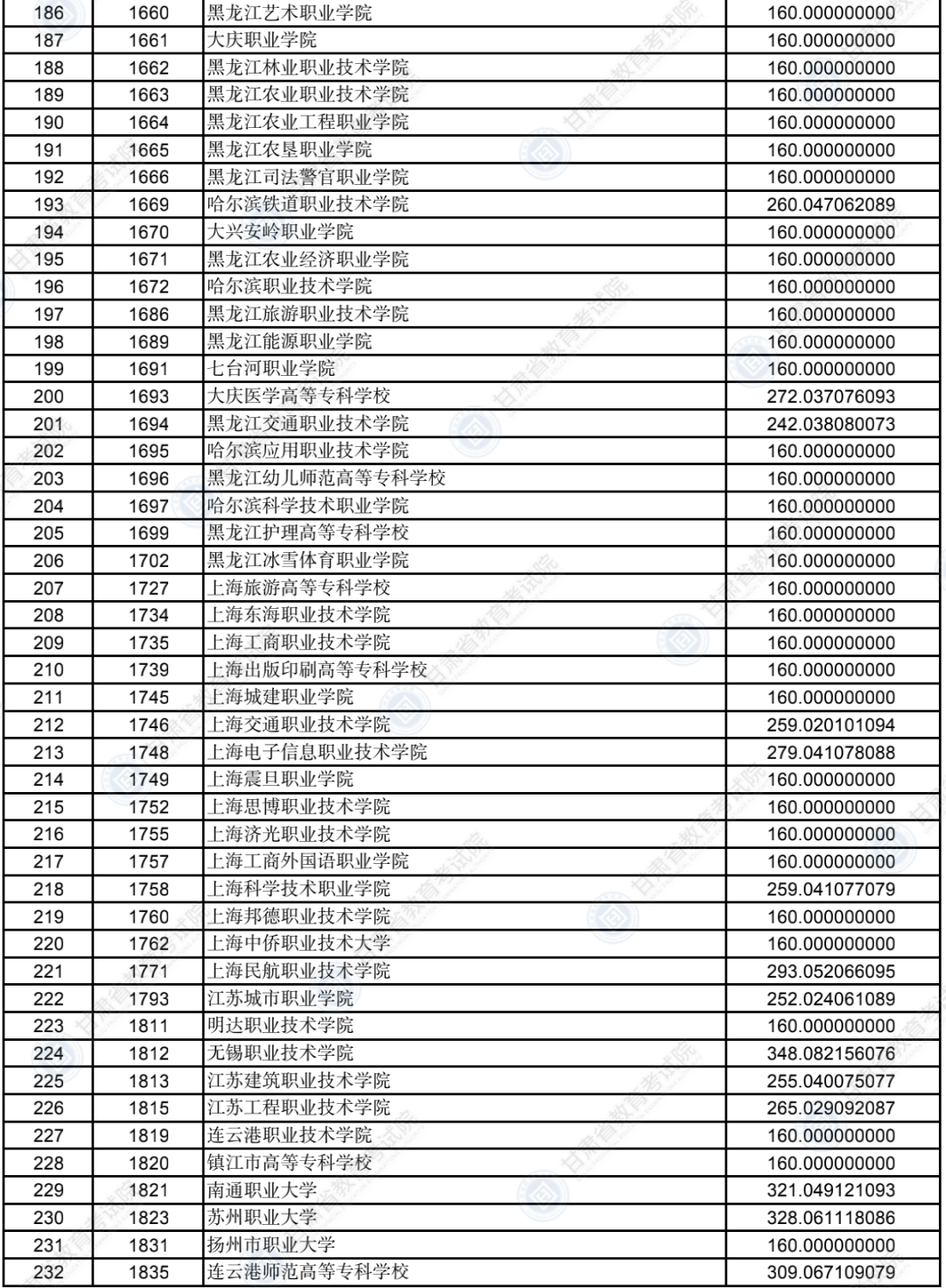
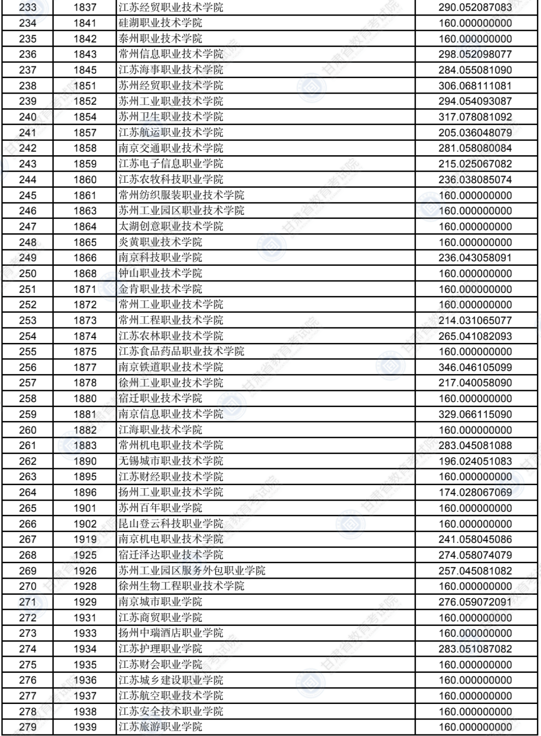
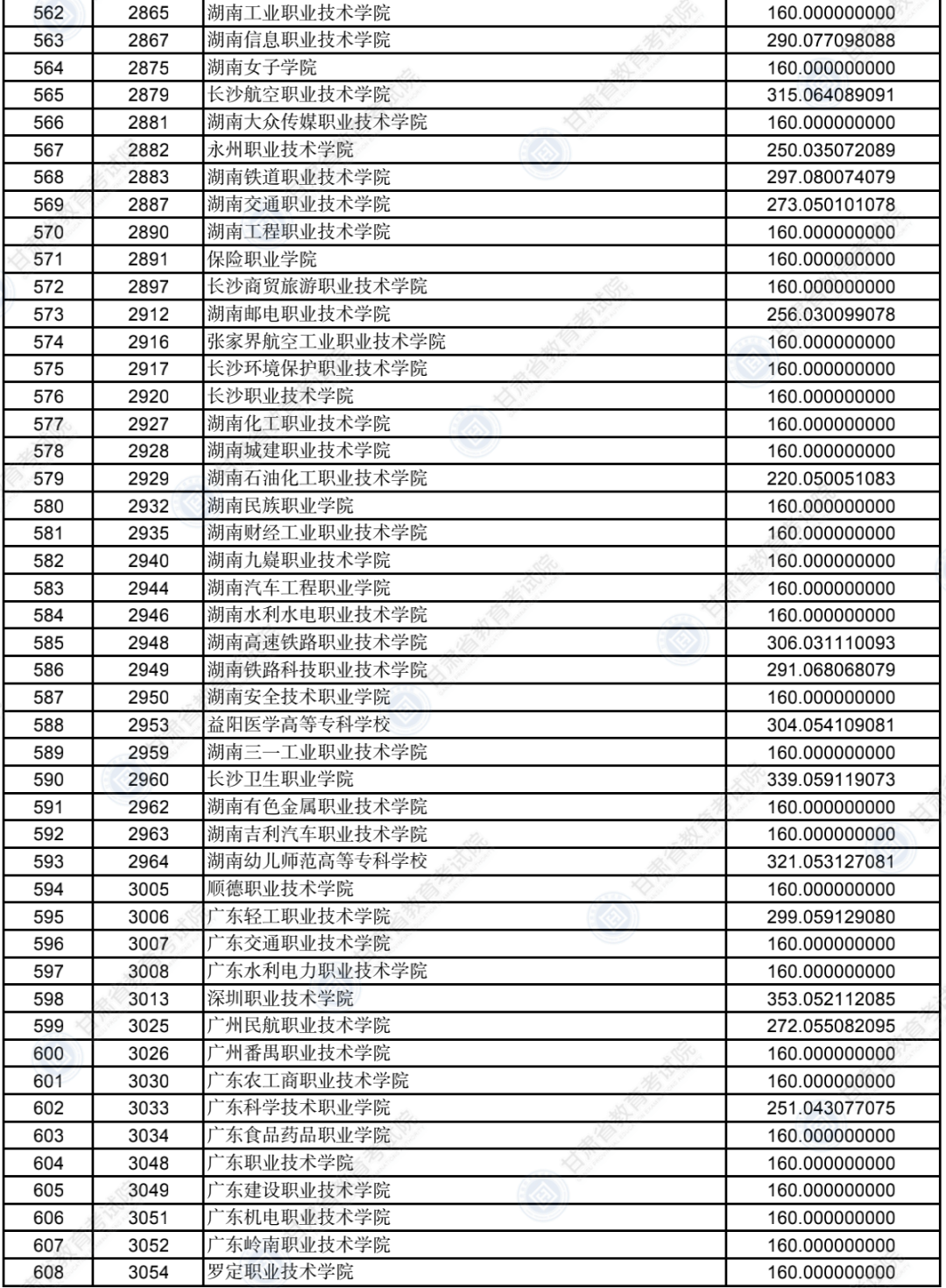
2022年甘肃省普通高校招生录取高职(专科)批普通类(R段)理工类院校投档最低分公布!
理工类文史类
理工类文史类
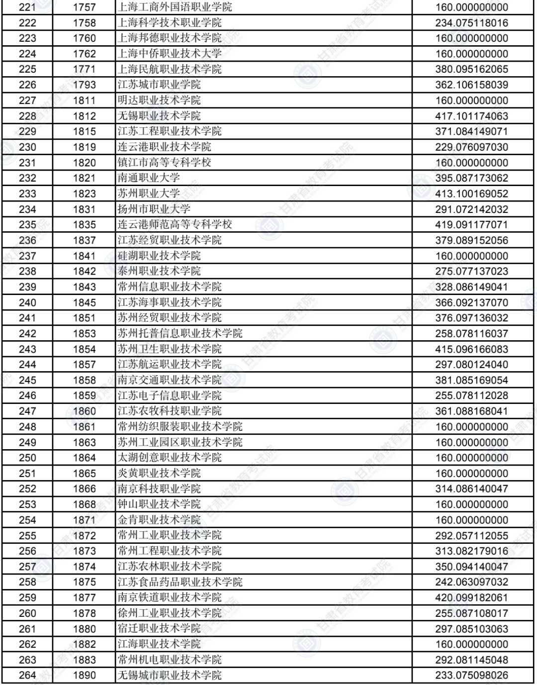
2022年甘肃省普通高校招生录取高职(专科)批普通类(R段)理工类院校投档最低分公布! 理工类




















文史类






















很赞哦! ()
2022年甘肃省普通高校招生录取高职(专科)批普通类(R段)理工类院校投档最低分公布! 理工类




















文史类





















