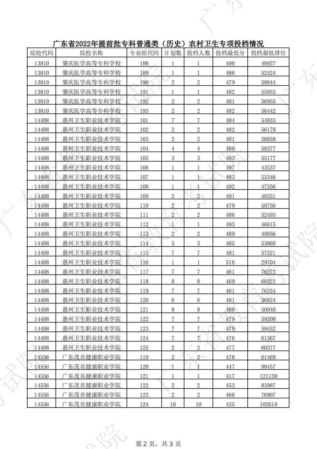
您现在的位置是:首页 > 学历教育 > 高考动态 高考动态 广东:2022年提前批专科投档情况 广东省 专科 投档 2022-08-10 14:18:35高考动态 广东省2022年提前批专科投档情况公布! 广东省2022年提前批专科投档情况公布! HTTP://WWW.dfjb.net豪仕法律网网采集不好玩哦◐◐◐◐◐◐◐◐◐◐◐◐◐◐◐◐◐◐◐◐◐◐◐◐◐◐◐◐◐◐撒旦法师打发斯蒂芬 很赞哦! () 扫描关注成功教育网微信公众号,第一时间获取成功教育网更新动态 转载请说明来源于"成功教育网" 本文地址:https://www.succedu.com/jiaoyuzixun/gaokaozhengce/62320.html 上一篇 广东:2022年普通高考专科批次投档情况 广东省2022年普通高考专科批次投档情况公布!点击附件下载:1.广东省2022年专科普通类(历史)投档情况2.广东省2022年专科普通类(物理)投档情况3.广东省2022年专科体育类投档情况4.广东省2022年专科美术类统考投档情况5.广东省2022年专科音乐类统考投档情况6.广东省2022年专科舞蹈类统考投档情况7.广东省2022年专科广播电视编导类统考投档情况8.广东省2022年专科书法类统考投档情况9.广东省2022年专科播音与主持类校际联考投档情况 相关文章 广东:2022年普通高考专科批次投档情况重庆:2022年普招艺术本科批A段-艺术类-平行志愿投档情况重庆:2022年普招体育本科批-体育类-首次征集投档情况重庆:2022年高考普招艺术本科批A段-艺术类(一次、二次征集)投档情况重庆:2022年普招体育高职专科批信息表重庆:2022年普招体育高职专科批-首次、二次征集信息表重庆:2022普招本科提前批B段-首次征集投档表重庆:2022年普招艺术高职专科批信息表重庆:2022年普招艺术高职专科批-首次、二次征集志愿信息表青海:2022高招专科特殊类型批次L段投档情况 文章评论