甘肃:2021高职(专科)批普通类(R段)院校投档最低分
2021-08-13 22:21:56高考动态
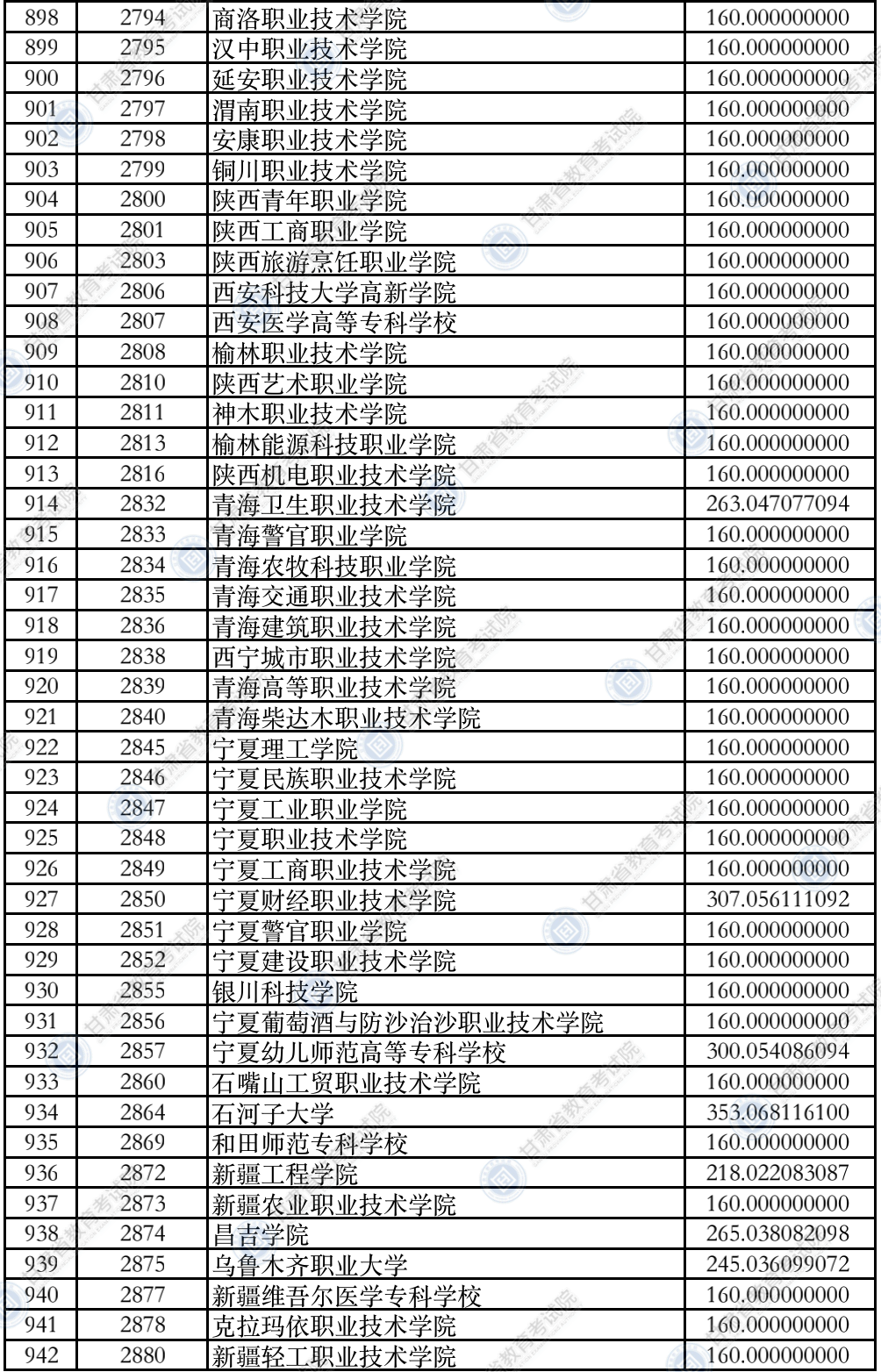
2021年甘肃省高职(专科)批普通类(R段)理工类院校投档最低分234567891011121314151617181920212223
2021年甘肃省高职(专科)批普通类(R段)理工类院校投档最低分
2021年甘肃省高职(专科)批普通类(R段)理工类院校投档最低分
2021年甘肃省高职(专科)批普通类(R段)理工类院校投档最低分


2

3

4

5

6

7

8

9

10

11

12

13

14

15

16

17

18

19

20

21

22

23
2021年甘肃省高职(专科)批普通类(R段)理工类院校投档最低分























很赞哦! ()
- 上一篇
广东:2021年普通高考专科批次第二次征集志愿正式投档
8月12日,我省2021年普通高考专科批次第二次征集志愿正式投档,共投出考生1464人,其中,普通类(历史)投出1089人,普通类(物理)投出273人,体育类投出35人,音乐类投出23人,美术类投出40人,舞蹈类投出1人,广播电视编导类投出3人。专科批次第二次征集志愿录取预计于8月13日结束,14日考生可查询录取结果。附件:1.广东省2021年专科普通类(历史)第二次征集志愿投档情况2.广东省2021年专科普通类(物理)第二次征集志愿投档情况3.广东省2021年专科体育类第二次征集志愿投档情况4.广东省2
- 下一篇
四川:2021年普通高校在川招生专科提前批院校调档线出炉
四川省2021年普通高校招生专科提前批已按期投档。为方便广大考生和家长及时了解录取信息,省教育考试院按文、理科发布了今年普通高校在川招生专科提前批院校调档线!
微信收款码
支付宝收款码