广东:2021年本科批次征集志愿和网上录取工作的通知
根据录取情况,我省本科批次普通类、体育类、美术类、音乐类(仅音乐表演-器乐)、舞蹈类、广播电视编导类尚有少量缺额计划需征集志愿。现就有关事项通知如下:
一、安排时间
征集志愿网上填报时间为7月26日18:00至27日18:00,投档录取时间为7月28日-29日。
二、征集志愿条件
普通类(历史):总分448分。
普通类(物理):总分432分。
体育类:文化科总分347分,体育术科195分。
美术类:文化科总分325分,美术术科200分。
音乐类(音乐表演-器乐):文化科总分325分,音乐术科185分。
舞蹈类:文化科总分260分,舞蹈术科178分。
广播电视编导类:文化科总分390分,广播电视编导术科183分。
重点高校招收农村和贫困地区学生(地方专项计划):
普通类(历史):总分518分。
普通类(物理):总分509分。
广东技术师范大学(少数民族班)普通类(物理):总分392分。
三、征集志愿程序
(一)查询录取结果。7月26日10:00起,考生可关注省教育考试院微信公众号,在页面底部选择“小程序”栏,通过考生号和密码登录即可查询录取结果;也可以通过百度小程序和粤省事小程序查询。
(二)网上填报志愿。经查未被录取且符合条件有意愿参加征集志愿的考生请于7月26日18:00-27日18:00登录“广东省普通高考志愿征集系统”(https://pg.eeagd.edu.cn/ks)填报志愿(征集志愿表样式见附件1)。考生须在规定的时间内填报志愿,逾时一律不再受理。已被录取考生,不得参加征集志愿。
(三)志愿填报方式。符合征集志愿条件的考生可以登录“广东省普通高考征集志愿系统”,按本通知精神和相关要求于7月27日18:00前自行上网填报征集志愿。
1.本科批次院校普通类(历史、物理)可填报45个院校专业组志愿,每个院校可填报6个专业志愿及1个是否服从调剂选项;省统考的体育类、音乐类、美术类、舞蹈类、广播电视编导可填报15个院校专业组志愿;每个院校可填报6个专业志愿及1个是否服从调剂选项。
2.参加征集志愿的考生,须分类别进行填报,体育类及艺术类考生不得兼报普通类院校专业组志愿。即:体育类、音乐类(统考)、美术类(统考)、舞蹈类(统考)、广播电视编导(统考)考生可分别选择填报对应的体育类专业、音乐类(统考)专业、美术类(统考)专业、舞蹈类(统考)专业、广播电视编导(统考)专业,或者按考试科目选择填报普通类(历史)或普通类(物理)专业。
3.征集志愿填报截止时间为7月27日18:00,考生必须按时在网上填报相应的本科批次院校专业组志愿,并在网上通过已绑定的手机号码获取验证码完成志愿确认。考生在网上填报志愿并保存后,如未进行志愿确认,则可在填报志愿截止时间前多次上网修改已填报的志愿,考生确定不再进行志愿修改时,必须点击“志愿确认”进行网上志愿确认,未在网上确认的志愿无效。在规定的志愿填报时间(7月27日18:00)截止后的1小时内(7月27日18:00-19:00),考生志愿信息不可修改,但仍可以获取短信验证码完成志愿确认。已在网上确认的志愿,考生可以有两次取消志愿确认、再修改并重新确认的机会。取消志愿确认后,无论是否重新修改,都必须在规定时间内,再次进行网上确认,否则志愿无效。7月28日-29日组织高校录取,以考生网上最后确认的征集志愿数据为投档依据。
四、征集志愿录取办法
体育类、音乐类(统考)、美术类(统考)、舞蹈类(统考)和广播电视编导(统考)专业征集志愿录取与普通类(历史、物理)征集志愿录取同步进行。正式投档前,将视院校生源情况,对各科类,各院校专业组间计划进行适当调整。
本科批次院校普通类(历史、物理)和体育类、音乐类(统考)、美术类(统考)、舞蹈类(统考)、广播电视编导(统考)专业征集志愿实行平行志愿投档录取模式,不进行预投档,正式投档投征集志愿分数线上考生档案,按考生总分(术科类为合成总分)排位从高到低依次检索,以参加征集的院校专业组最终确认的计划1:1比例进行投档,由高校择优录取。
五、注意事项
(一)考生填报志愿时,须认真查看征集志愿高校招生章程,特别是身体条件要求和考试成绩要求等情况,并尽量选择服从专业调剂。避免因不服从专业调剂或身体条件受限,被院校退档。
(二)本次征集志愿学校有部分是收费较高的民办高校或独立学院,包括部分中外合作办学专业,考生填报志愿时,须根据自身家庭经济情况和个人意愿,认真查看有关高校及中外合作办学专业的招生章程,了解收费标准情况,慎重填报,一经确认,投档后,不得申请放弃。
(三)征集志愿录取时,以考生重新填报的本科批次征集志愿为准,考生原填报的本科批次院校专业组志愿信息无效。
各地市、县(市、区)招生考试机构和有关高校要高度重视、认真负责,并指定专人负责此项工作,确保本科批次征集志愿和网上录取工作顺利进行。
附件:1.广东省2021年普通高校招生征集志愿表(样式)
2.广东省2021年普通高校招生本科院校普通类(历史、物理)征集志愿在库考生分数段统计表
3.广东省2021年普通高校招生本科院校(体育类、音乐类、美术类、舞蹈类、广播电视编导)征集志愿在库考生分数段统计表
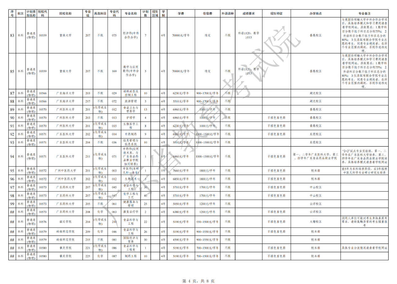
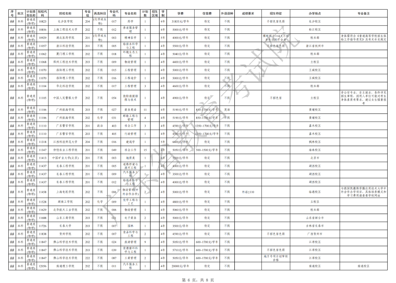
4.广东省2021年普通高校招生本科院校[普通类(历史、物理)、体育类、音乐类、美术类、舞蹈类、广播电视编导]征集志愿招生计划表(分类下发)
广东省招生委员会办公室
2021年7月26日





















- 上一篇
福建:2021年普通类本科批常规志愿院校专业组投档最低分
福建省2021年普通类本科批常规志愿院校专业组投档最低分公布物理科目组:历史科目组:14
- 下一篇
黑龙江:本科第一批次录取院校B段网上征集志愿预通知
根据目前本科第一批次录取院校B段录取进展情况,本科第一批次录取院校B段网上征集志愿预计于7月27日8时左右开始,7月27日12时结束。届时,我院将第一时间通过“黑龙江省招生考试信息港”发布本次征集志愿正式通知。望考生于7月27日8时左右登录“黑龙江省招生考试信息港”查询录取结果,凡未查询到录取结果的考生,可按届时发布的征集志愿通知要求通过网上填报征集志愿。黑龙江省招生考试院2021年7月26日
微信收款码
支付宝收款码