广西:2021年普通高校招生本科第一批最低投档分数线
2021-07-19 10:18:04高考动态
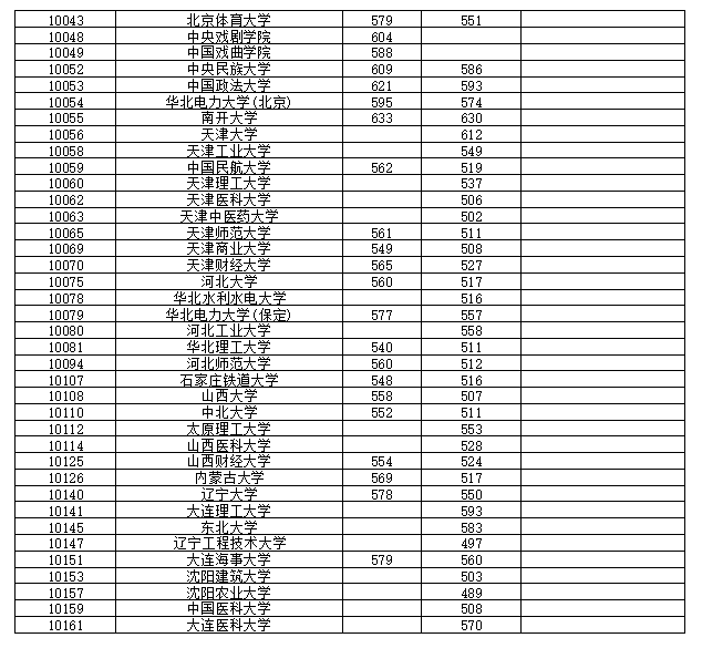
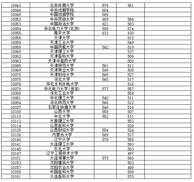
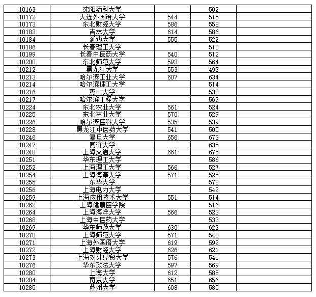
2021年普通高校招生本科第一批最低投档分数线
2021年普通高校招生本科第一批最低投档分数线












很赞哦! ()
- 上一篇
内蒙古:2021年普通高校招生网上填报志愿公告(第15号)本科一批第三次
现将本科一批第三次网上填报志愿有关事宜公告如下:一、网上填报志愿的批次及科类批次:本科一批科类:文科、理科、蒙授文科、蒙授理科。二、网上填报志愿条件填报志愿前考生状态为自由可投,其投档分(即高考总分加政策性加分,以下涉及的分数如无特别说明均指投档分)须达到本科一批相应科类录取最低控制分数线下60分。对专业备注中有特殊要求的按相应分数执行。三、网上填报志愿时间1.7月19日14:00开始填报志愿;15:00后不允许删除志愿,但可以新填志愿;15:30时后既不允许新填志愿也不允许删除志愿,只允许修改志愿。2.
- 下一篇
新疆:2021年普通高校招生网上录取第一次征集志愿7月18日进行
根据录取日程安排,自治区教育考试院将于7月18日8时至18时,进行今年普通高校招生录取未完成计划第一次征集志愿。本次征集志愿范围为:普通类、单列类(选考民族语文)、往届民语言类本科提前批次,国家及地方专项(原贫困专项)、南疆单列、对口援疆计划本科一批次未完成计划征集志愿,7月19-21日投档、录取;7月20日8时至18时,单列类(选考外语)计划本科提前批次,国家及地方专项(原贫困专项)、南疆单列、对口援疆计划本科一批次未完成计划征集志愿,7月22-23日投档、录取。自治区教育考试院提醒,凡尚未被录取的考生
微信收款码
支付宝收款码