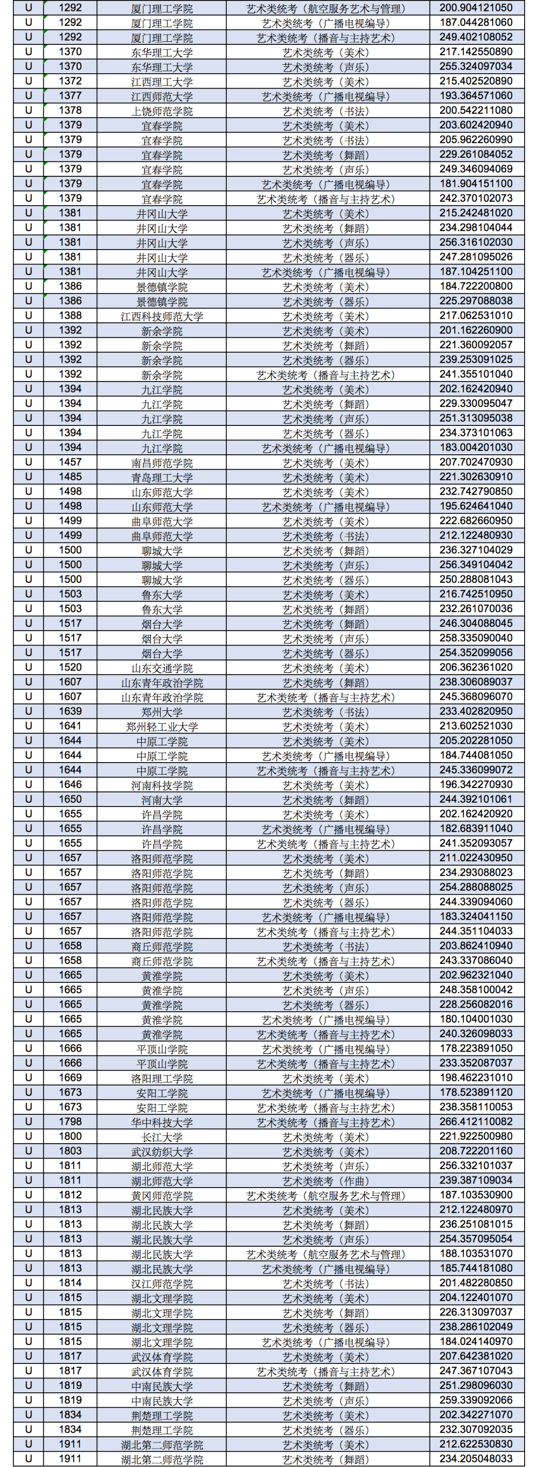
甘肃:2021高招录取艺术体育类专业U段投档最低分公布
2021年甘肃省普通高校招生录取艺术体育类专业U段分美术、书法、唐卡、声乐、器乐、作曲、广播电视编导、播音与主持艺术、航空服务艺术与管理、舞蹈、田径、篮球足球排球、武术体操等13个类别,按照“分数优先,遵循志愿,一轮投档”的原则投档,即:由高考成绩和专业成绩按照一定比例折算后生成排序成绩,将文化课和专业课双上线的考生按排序成绩分类别从高分到低分排定位次,然后按位次优先的原则,根据考生平行志愿的自然顺序从前到后进行检索,一经检索到计划未满额的学校,即向该校投档。因此,对于考生来说该轮投档只有一次投档机会,个别已经投档的考生会因专业不服从调剂或不符合院校相关招生政策等情况被院校退档,会产生空余计划进行征集。此次公布的投档最低分为第一次填报志愿的投档结果。
各类别排序成绩计算方式如下:
类别一:美术、书法等类别排序成绩计算公式如下:
排序成绩=文化课成绩(不含政策性加分)÷750×300×30%+专业课成绩×70%,最终结果保留两位小数。
类别二:广播电视编导专业排序成绩计算公式如下:
排序成绩=文化课成绩(不含政策性加分)÷750×300×70%+专业课成绩×30%,最终结果保留两位小数。
类别三:唐卡、声乐、器乐、作曲、播音与主持艺术、舞蹈、田径、篮球足球排球、武术体操等类别的排序成绩为专业课成绩。
类别四:航空服务艺术与管理专业排序成绩计算公式如下:
排序成绩=文化课总分(不含政策性加分)÷750×300×50%+专业课总分×50%,最终结果保留两位小数。
当排序成绩相同时,类别一的考生按专业课总分、语文成绩高低排序,类别二、类别四的考生按文化课总分、语文成绩高低排序,类别三的考生按文化课总分、语文、数学成绩高低排序。







相关文章
- 河南:2022年普通高招艺术类音乐(含对口、专升本)、表演、播音与主持成绩公布
- 辽宁:2022年1月普通高中学业水平合格性考试成绩可查
- 广西:2021年下半年普通高中学业水平考试成绩2月24日起可查
- 山东2022夏季高考外语听力考试成绩今日(2月21日)10时可查!
- 福建省2022年1月高中学考成绩已公布
- 山东省2021年冬季普通高中学业水平合格考试成绩2月17日起可查
- 甘肃:2021年冬季普通高中学业水平考试成绩开始网上查询
- 广东:关于公布2022年第一次普通高中学业水平合格性考试成绩的通知
- 天津:2022年普通高考小语种科目第一次考试成绩2月16日可查
- 山西省2022年普通高校招生艺术类航空服务艺术与管理专业成绩分段统计表
微信收款码
支付宝收款码