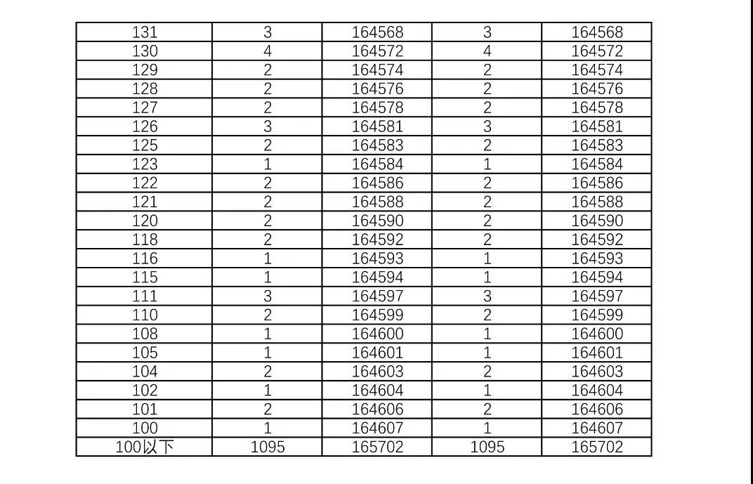
湖南省2021年普通高考档分1分段统计表(历史科目组合)
2021-06-25 14:18:29高考动态
各地高考分数即将陆续公布,查看你的分数能上哪些大学?
各地高考分数即将陆续公布,查看你的分数能上哪些大学?
很赞哦! ()
相关文章
- 贵州省划定2022年普通高等学校招生艺术类统考专业合格分数线
- 新疆:自治区2022年美术类、音乐类专业统一考试合格分数线公布
- 黑龙江:2022年普通高校艺术类专业课省级统考合格分数线(校考资格线)公布
- 西藏:2022年普通高等学校招生艺术类专业加试统考本科合格分数线
- 辽宁:2022年音乐舞蹈类专业统考合格分数线公布
- 吉林:2022年普通高校招生音乐类专业统一考试合格分数线确定
- 吉林:关于确定2022年普通高校招生舞蹈类专业统一考试合格分数线的通知
- 山东2022年美术类、书法类、文学编导类、舞蹈类、音乐类、播音主持类专业统考合格分数线公布
- 内蒙古:2022年普通高校招生艺术类统考专业课合格分数线公布
- 辽宁:2022年普通高等学校招生戏剧与影视学类专业统考合格分数线和专业统考成绩公布
微信收款码
支付宝收款码