浙江省2021年新高考招生政策百问百答
1.我省高考共有几种招生模式?
答:我省高考主要有四种考试招生模式:一是统一高考招生。考试不分文理,考试科目分必考科目和选考科目,分别均为3门。必考科目为语文、数学和外语,选考科目由学生从思想政治、历史、地理、物理、化学、生物学、技术(含通用技术和信息技术)等7门科目中自主选择3门。二是高职提前招生。普通高中考生以高中学考成绩为基本依据,中职考生以全省统一组织的职业技能考试成绩为基本依据;实行“一档多投”,实现考生高校双向选择,考生可报考多所高校,同时被多所高校拟录取的考生自主选择确认1所录取高校。三是单独考试招生。面向中职学校包括中专学校、技工学校招生,实行全省统一单独考试,考试由文化课考试、职业技能考试两部分组成。文化课考试为语文、数学2门。拟报考有外语要求的学校、专业的考生,须先参加全国英语等级考试一级(PETS—1)及以上级别笔试,获得笔试合格成绩,方可报考相应专业。考生需按要求参加职业技能考试,在17个大类中自主选报一类,职业技能考试分理论知识和技能操作两部分。四是“三位一体”招生。高校依据考生统一高考、高中学考和综合素质评价成绩按比例合成综合成绩,择优录取。考生自主向相关高校报名,参加高校组织的综合素质测试,并按规定参加高考。高校确定综合素质测试内容和实施办法,着重考查学生的综合素质,以及学科性向、专业潜质等。
2.统一高考各科目如何计分?由谁命题?
答:必考科目语文、数学、外语每门满分150分,按得分计入考生总成绩。选考科目按等级赋分,每门满分100分,以高中学考成绩合格为赋分前提,根据事先公布的比例确定等级并赋分,起点赋分40分。考生满分750分。外语由教育部统一命题,其他各科均由我省自主命题。从2023年起,语文、数学和外语使用全国统一命题试卷。
3.高考科目有几次考试机会?何时考?成绩有效期如何规定?
答:语文、数学提供1次考试机会,考试安排在6月,成绩当年有效。外语和选考科目提供2次考试机会,分别安排在1月和6月,其中6月考试与高考语文、数学同期举行,考生自主选用其中1次成绩;自2021年1月考试起,外语和选考科目成绩当年有效。2020年外语和选考科目成绩仍可适用于2021年普通高校招生录取。
4.考生怎样选定选考科目?有何报考规则?
答:考生可以结合自己的兴趣特长,根据拟报考学校专业要求,从思想政治、历史、地理、物理、化学、生物学、技术(含通用技术和信息技术)等7个科目中,选择3科作为选考科目,每科至多参加2次考试。每一门选考科目,可由考生自己在考前选择,具体在实际报考该科目时确定。学生高三起参加选考科目考试,相应科目学考合格方能报考该科目的选考。
5.选考科目为什么采用等级赋分?
答:选考科目不使用卷面得分,而采用等级赋分,主要因为:(1)不同科目的卷面得分缺乏可比性。选考科目由考生自主选择,不同科目考试内容和难度有所不同,把不同科目考试卷面得分机械相加合成总成绩给考生排序不够合理。(2)不同科目实行等级分相对可比。等级分,是根据事先确定并公布的各科相同的比例,先按考生的卷面得分划定相应等级,再按等级赋分,相同的等级分数相同,进而使不同科目的分数具有相对可比性。(3)此外,考生考什么科目、什么时候考试,使用哪次考试成绩都由自己决定,对于实行等级分来说,考生选择机会和权力是平等的。
6.选考怎样赋分?如何细化?
答:选考科目以当次当科考试考生卷面得分为依据,按最接近的累计比例划定等级并按对应关系赋分,赋分以高中学考成绩合格为前提,起点赋分40分,每门满分100分。
注意:从2022年1月选考起,选考科目等级赋分的分差由3分改为1分。在原21等级基础上划分为20个赋分区间,将原第1(1%,100分)、第2(2%,97分)两个等级合并为一个赋分区间,其余不变。各对应区间内按等比例转换,四舍五入将卷面得分转换为等级分。

第一步,将卷面得分按人数比例划分为20个赋分区间,得出每个区间卷面得分的上限、下限。具体步骤为:
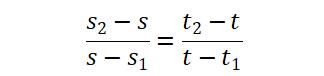
第二步,对每个区间的卷面得分进行等比例转换,公式为:

其中,s2、s1为卷面得分区间的上限和下限,s为待转换卷面得分;t2、t1为赋分区间的上限和下限,t为卷面得分等比例转换后的赋分。
第三步,将转换结果四舍五入后即为等级赋分。
举例说明:赋分区间为87-85,如对应的卷面得分区间为84-81,某考生的卷面得分为83,通过等比例转换:

可以得出t=86.3,四舍五入取整后的等级赋分为86分。
7.为什么要建立选考科目保障机制?
答:选考科目保障机制是健全选考机制的重要组成部分,是针对学生自主选考出现某些科目人数异常下降、难以满足国家人才培养需要现象的合理调控措施。建立选考科目保障机制,有利于防止和抑制个别科目选考人数非正常下降趋势,有利于稳定考生预期、促进选课平衡。
8.选考科目的保障基数是如何考虑的?
答:根据《浙江省人民政府关于进一步深化高考综合改革试点的若干意见》和《浙江省普通高校招生选考科目考试实施办法》等有关规定,我省“率先建立物理选考科目保障机制,物理选考科目保障数量确定为6.5万人,当其他科目出现类似情况,参照物理办法建立并执行保障机制,具体办法由省教育行政部门负责制定实施”。物理保障机制启用后,对稳定预期、促进选课平衡起到了良好的作用。同时,各选考科目的保障基数实施一个统一的标准,也是保持各科目赋分规则一致、确保公平的需要。按照文件精神,综合各方面因素,2021年2月《浙江省教育厅关于进一步做好学考选考工作的通知》中明确各选考科目保障基数为6.5万人。当某选考科目某次考试赋分人数少于保障数量时,以6.5万人为基数从高到低进行等级赋分。
9.2020级学生学考何时考试,有哪些报考规则?
答:从2020年入学的高一学生开始,学考按年级定时定科统一安排,同一年级统一科目统一时间开考。各科目考试时间根据必修课程教学安排和“学完即考”的原则安排。普通高中在校生均须在规定时间参加相关科目的考试,每科考一次。如果某科目成绩等级不合格,可申请再次考试。
10.2020级学生学考各科目考试时间如何安排?分值是怎样的?
答:各科目考试时间为:高一下学期考历史、地理、化学、生物学;高二上学期考物理、思想政治;高二下学期考语文、数学、技术;高三上学期考外语,此次外语成绩既用于评定学业水平等级又可用于高考。外语卷面分值为150分,其余学考科目为100分。
11.2020级学生学考成绩怎么评定?
答:学考评卷工作全省统一组织实施。成绩采用等级制,设A、B、C、D、E共5个等级,E为不合格。以卷面得分为依据,A、B、C等按实考人数15%、30%、30%最接近的累计比例划定,E等比例不超过5%。经批准设立的内高班、内职班学生成绩等级单独划定。
12.2019级学考怎么考?是否和2020级学生分卷考试?
答:2019级学生按原学考办法执行,外语卷面分值150分,语文、数学卷面分值100分,其余科目卷面分值70分。2019级和2020级学生都会参加2021年7月的学考,考虑到两个年级的学生使用教材不同、知识结构有差异,届时将实行分卷考试,分别划分等级。
13.高考招生志愿填报对选考科目有啥要求?
答:院校各专业(类)的选考科目要求分为6类:1门科目,考生必须选考方可报考;2门科目,考生均需选考方可报考;2门科目,考生选考其中一门即可报考;3门科目,考生均需选考方可报考;3门科目,考生选考其中一门即可报考;不提科目要求。考生在选报志愿时,务必看清楚具体要求。
14.各招生模式怎样选择志愿?
答:在统一高考招生中,考生按“学校+专业”填报志愿,考生在选报“学校+专业”志愿时,自己的选考科目须符合高校有关专业选考科目要求。其中“专业(类)”志愿,既可以报考同一个高校中的不同专业(类),也可以是不同高校的同一专业(类),还可以是不同高校不同专业(类)。单独考试招生中,考生根据自己职业技能考试类别,按“学校+专业”填报志愿。在高职提前招生中,考生可以报考多所高校,一档多投;同时被多所高校拟录取的,由考生选择确认其中1所录取高校。在“三位一体”招生中,考生可根据自己的统一高考、高中学考和综合素质评价等综合情况,有针对性地自主选择填报相关高校志愿。
15.三位一体招生综合成绩怎样计算?
答:三位一体招生综合成绩是由统一高考、高中学考、综合素质评价成绩按比例合成。具体合成比例在高校招生章程中公布。目前,统一高考成绩占比一般不低于综合成绩的60%。
16.报考普通高校的中职生、往届生如何参加选考?
答:凡报考普通高校的中职生、往届生及其他没有学考成绩的社会考生需要提前完成相应科目的学考,学考合格后才可报考同科目选考。
17.普通高中毕业生可以报考单独考试招生吗?
答:不可以。与其他三种考试招生模式不同的是,单独考试招生是为适应中职教学特点和中职学生成长需要专门设计的,只有中职学校(含中专学校、职业高中、技工学校等)毕业生可报考单独考试招生。
18.哪些考生需要参加职业技能考试?怎样报考?
答:考生若报考单独考试招生、高职提前招生等有职业技能考试要求的院校专业,需按要求参加职业技能考试。职业技能考试共分17个大类,考生可以自主选报1个类别;各类别考试分理论知识和技能操作两部分,成绩满分300分。
注意:从2022年招生录取起,职业技能操作考试作为合格性考试,由省统一标准、市县组织,考试合格作为报考条件,职业技能理论知识考试仍全省统一组织。
- 上一篇
北京:2021年普通高等学校招生志愿填报须知
一、志愿填报方式与填报时间(一)志愿填报方式考生志愿填报实行网上填报方式,考生须在规定的时间内登录北京教育考试院网站(www.bjeea.edu.cn;www.bjeea.cn)进行志愿填报。(二)志愿填报时间6月27日8时至7月1日17时,统考考生填报本科提前批志愿、特殊类型招生志愿、本科普通批志愿,单考考生填报职教师资班和高职单考单招志愿。7月21日8时至7月22日17时,未被录取的统考考生填报专科提前批和专科普通批志愿。各批次征集志愿填报及录取在下一批次录取开始前进行。录取期间,征集志愿填报时间通过
- 下一篇
北京:将于6月18日组织2021年高招网上咨询活动
为帮助考生、家长了解相关高校在京招生录取政策,更好地做好高招志愿填报工作,6月18日我市将组织2021年高招本科网上咨询活动。届时在京相关高校及市、区高招办、市体检中心将在线回答广大考生、家长的提问。本科网上咨询系统将于6月18日(周五)上午8时开放,网上提问时间为上午8:00至晚20:30;集中答疑时间分别为:9:00-11:30,14:00-17:00,18:00-21:00。为保障咨询活动顺利进行,咨询系统将于6月17日(周四)上午8时开放注册,需要在咨询活动期间提问的考生、家长请在提问前完成网上注
微信收款码
支付宝收款码