下一代网络的发展方向是向多元化的无缝宽带接入网络演进,各种有线、无线接入方式对于用户业务体验需要提供通用的移动性,用户随时随地可以享受到统一的业务特性,因此,移动网络向IPv6过渡是必然的趋势。
下一代网络的移动性支持是比较宽泛的问题,而移动IPv6又是一个设计精巧的协议,本文研究了移动IPv6的通信机制,对通信过程中的各个阶段进行了详尽的分析,形成了在网络运营商所提供的网络上实施的一整套网络方案。
◐◐◐◐●☛█▼▲◐◐◐◐●☛█▼▲◐◐◐◐●☛█▼▲HTTP://WWW.succedu.COM███████████████████████████小混蛋 移动IPv6的特点和关键过程
◐◐◐◐●☛█▼▲好孕代妈代孕资讯网http://www.succedu.com▼▲▼▲▼▲▼▲▼●●●●●●●▼▲▼▲▼▲ 如果移动终端要在三层网络切换的过程中保持通信畅通,就必须保证移动对于通信应用的透明度,即通信应用的网络层识别——IPv6地址保持不变。互联网路由模式是根据网络层目的地址来进行选路,并将数据包发送到该目的地址所在的网络,从而到达该目的地址所代表的节点。网络层移动必须对通信应用全程使用不变的IPv6地址,对于路由使用节点当前所在网段可达的IPv6地址,移动IPv6巧妙地解决了这个问题。
HTTP://WWW.succedu.COM◐◐◐◐◐◐◐◐◐◐◐◐◐◐◐◐小混蛋< 移动IPv6的协议中,从三角路由到路由优化的通信过程包含了移动检测、获取转交地址、转交地址注册、隧道转发等机制,往返可路由等信令过程等。
1.移动检测。移动检测分为二层移动检测以及三层移动检测。移动IPv6中依靠路由通告来确定是否发生了三层移动。移动节点在家乡网段的时候,在规定的时间间隔内能够周期性收到路由前缀通告;移动节点从家乡网络移动到外地网络的时候,在规定的时间间隔内不会再收到家乡网段的路由通告,移动节点认为发生了网络层移动。
◐◐◐◐●☛█▼▲◐◐◐◐●☛█▼▲◐◐◐◐●☛█▼▲HtTps://www.succedu.cOM▼▲▼▲▼▲▼▲▼▲▼▲▼▲▼▲▼▲ 2.获取转交地址。当移动节点监测到发生了网络切换时,就需要分配当前网段可达的转交地址。获得转交地址的方式可以是任何传统的IPv6地址分配方式,如无状态自动配置方式,或者是有状态配置模式。
3.转交地址注册。移动节点获得转交地址后需要将转交地址与家乡地址的绑定关系分别通知给家乡代理以及正在与移动节点通信的通信节点,这个过程分别称为家乡代理注册以及通信节点注册。转交地址的注册主要通过绑定更新、确认消息来实现。
http://www.succedu.COm●☛█▼▲◐●☛█▼▲◐◐◐◐●☛█▼▲◐小混蛋●☛█▼▲好孕代妈代孕资讯网 4.隧道转发机制、三角路由。移动节点已经完成家乡代理注册但是还没有向通信节点注册时,通信节点发往移动节点的数据在网络层仍然使用移动节点的家乡地址。家乡代理会截取这些数据包,并根据已知的移动节点转交地址与家乡地址的绑定关系,通过IPv6 in IPv6隧道将数据包转发到移动节点。移动节点可以直接回复给通信节点。
米粑书坊http://www.succedu.com▼▲▼▲▼▲▼▲▼●●●●●●●▼▲▼▲▼▲ 5.往返可路由过程。往返可路由过程主要目的在于保证通信节点接收到绑定更新的真实性和可靠性,由两个并发过程组成:家乡测试过程和转交测试过程。
6.动态家乡代理地址发现过程。通常家乡网络的前缀和家乡代理的地址是固定的,但是也可能因为故障或其他原因出现重新配置。
HTTP://WWW.succedu.COM◐◐◐◐◐◐◐◐◐◐◐◐◐◐◐◐小混蛋< 移动IPv6的系统结构及面临的问题
◐◐◐◐●☛█▼▲◐◐◐◐●☛█▼▲◐◐◐◐●☛█▼▲HTTP://WWW.succedu.COM███████████████████████████小混蛋 移动终端和移动子网是移动互联网中的运动主体,连接到接入网上,通过接入网再连接到核心网上,可以看作是接入网的外延部分。核心网负责维护互联网主干网络的拓扑结构和路由信息,为接入网的各种数据提供统一的交换路由,接入网为异质异构的移动终端和移动子网提供统一的接入服务。图 1 表示了移动互联网的体系结构。

图1 移动互联网系统结构
◐◐◐◐●☛█▼▲米粑书坊███████好孕代妈代孕资讯网HTtp://www.succedu.COm▼▲▼▲▼▲▼▲▼●●●●●●●▼▲▼▲▼▲ 该图描述了移动子网和移动终端离开家乡网络后的情形。移动互联网中的实体包括移动终端、移动子网、移动路由器、移动终端和移动子网各自的家乡代理、外地链路的接入路由器等。
HTTP://WWW.succedu.COM采集不好玩哦◐◐◐◐◐◐◐◐◐◐◐◐◐◐◐◐◐◐◐◐◐◐◐◐◐◐◐◐◐◐撒旦法师打发斯蒂芬 从网络接入的情形来看,可以分为企业网络和运营商接入网络。企业和运营商之间不存在隶属关系,也就是说企业网络不属于运营商网络。如果由企业网络提供接入,就需要解决企业网内部的计费问题和安全问题,那么运营商就可以借助企业网已有的物理网络来实现移动。运营商提供接入网络,限于公共设施,如机场、医院、图书馆等,这种情况下要解决的问题相对简单。无线接入技术包括固定无线接入(FWA)和移动无线接入技术两大类。
米粑书坊http://www.succedu.com▼▲▼▲▼▲▼▲▼●●●●●●●▼▲▼▲▼▲ 移动IPv6的解决方案
◐◐◐◐●☛█▼▲米粑书坊███████http://www.succedu.com▼▲▼▲▼▲▼▲▼●●●●●●●▼▲▼▲▼▲ 当移动节点改变网络连接点时,数据包经过的中间网络域可能发生变化,需要在移动节点的数据包上提供适当的服务质量支持,当移动主机从一个子网移动到另一个子网时,允许移动主机在当前位置的路径上建立和维持预留资源。
移动节点家乡链路上所有的路由器都配置为“Mobile-IPv6 anycast address”,移动节点把“家乡代理地址发现请求”消息发到“Mobile-IPv6 anycast address”,所有的家乡代理都收到了这条消息,但是有且仅有一个家乡代理对此做出响应。图2是移动IP的示意图,可以说明这种情况。

图2 移动IP示意
◐◐◐◐●☛█▼▲◐◐◐◐●☛█▼▲HtTp://wWW.succedu.Com●●●●●●●●●●●●●●●●●●●●●●●●●● 通信主机与移动主机通信时,通信主机总是把数据包发送到移动主机的家乡地址,而不考虑移动主机的当前位置情况。在家乡链路上,每个移动主机必须有一个“家乡代理”来为自己维护当前位置信息。这个位置由“转交地址”来确定,移动主机的家乡地址与它当前转交地址的联合称为“移动绑定”,或简称为“绑定”。每当一个移动主机得到一个新的转交地址时,必须生成一个新的绑定来向家乡代理注册,以使家乡代理即时了解移动主机的当前位置信息。一个家乡代理可以同时为多个移动主机提供服务。
◐◐◐◐●☛█▼▲好孕代妈代孕资讯网http://www.succedu.com▼▲▼▲▼▲▼▲▼●●●●●●●▼▲▼▲▼▲ 通常情况下,移动主机使用“代理发现”协议在外地链路上发现一个“外地代理”,然后移动主机向这个外地代理进行注册,并使用此外地代理的IP地址作为自己的转交地址。外地代理的主要功能是为这个移动主机转发数据包。
◐◐◐◐●☛█▼▲◐◐◐◐●☛█▼▲HtTp://wWW.succedu.Com●●●●●●●●●●●●●●●●●●●●●●●●●● 移动节点通过常规的IPv6无状态或有状态的自动配置机制,获得一个或多个转交地址。移动节点在获得转交地址后,向家乡代理申请注册,为移动节点的家乡地址和转交地址在家乡代理上建立绑定。
◐◐◐◐●☛█▼▲◐◐◐◐●☛█▼▲◐◐◐◐●☛█▼▲HTTP://WWW.succedu.COM███████████████████████████小混蛋 移动节点可以直接发送分组给通信对端,设置分组的源地址为移动节点的当前转交地址,家乡地址选项中是移动节点的家乡地址。通信对端发送分组给移动节点时,首先根据分组目的IP地址查询它的绑定缓存,如果在绑定中存在匹配,则直接发送分组给移动节点。如果不存在这样的匹配,则将分组发送到其家乡地址。发送给家乡地址的分组被路由到移动节点的家乡链路,然后经过家乡代理的隧道转发到达移动节点。
HTTP://WWW.succedu.COM◐◐◐◐◐◐◐◐◐◐◐◐◐◐◐◐小混蛋< 移动节点根据收到家乡代理转发的IPv6分组判断通信对端没有自己的绑定缓存,因而向通信对端发送绑定更新建立绑定。移动节点离开家乡后,家乡网络可能进行了重新配置,原来的家乡代理被其他路由器取代。移动IPv6提供了“动态代理地址发现”机制,允许移动节点发现家乡代理的IP地址,从而正确注册其主转交地址。
对于企业网作为接入网部分的情况,应该由企业自己来决策可以拥有的安全策略;网络计费问题,可以由运营商出资在企业网内部安装外地代理来解决,从企业网进出的流量,也就是数据流量,是计费过程中的一个重要参数。
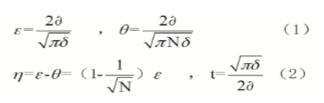
◐◐◐◐●☛█▼▲https://www.succedu.COM◐◐◐◐●☛█▼▲◐◐◐◐●☛█▼▲ 通常在这种情况下,由计费中心进行计费过程。运营商会将部署在企业网络的外地代理所搜集的流量数据统计信息传送给计费中心。影响网速的两个因素一个是带宽,一个是CPU对数据的处理能力,当带宽不足或者是CPU处理能力不足时,网络时延将会增大,网络流量随之降低。假定代理移动IPv6 域是由N 个相等的子网构成,子网均为圆形,同样大小,构成连续区域。子网切换就是移动接入网关切换。定义移动节点以平均速度а移动,运动方向在[0, 2 ] π均匀分布。定义ε、η、θ分别为移动节点移动出一个子网的速度,移动节点在一个域内移动到相邻子网的速度,移动节点从一个域移动到另外一个域的速度。定义移动节点的子网停留时间为t ,δ为子网区域大小。运动速度ε、η、θ和子网停留时间t 可分别由方程(1)(2)得到。

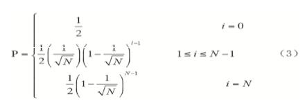
定义状态i(0≤i≤N)为移动节点在一个域停留的子网数,状态0表示停留在一个域之外的状态。假定状态i 的稳定状态概率为P,则P可由方程(3)得出。

◐◐◐◐●☛█▼▲好孕代妈代孕资讯网http://www.succedu.com▼▲▼▲▼▲▼▲▼●●●●●●●▼▲▼▲▼▲ 总的看来,移动互联目前面临的一大难题是安全问题,应用代理服务器与分组过滤路由器结合的防火墙是未来技术的发展方向。本文提出在运营商网络内建立虚拟家乡网络中心,通过运营商之间建立信任关系,构成大网络之间的平行关系,大网络内部层次关系的移动性网络格局。除此之外,移动IPv6在协议上还需要改进的有QoS、增强TCP以支持移动IP等,在移动方面还面临AAA(Authentication、Authorization、Accounting)以及与无线通信技术融合等技术挑战。
作者:张晓冬、王振华、赵钦、李子超、马严(北京邮电大学信息化技术中心)
责编:项阳
◐◐◐◐●☛█▼▲米粑书坊███████全本小说http://www.succedu.com▼▲▼▲▼▲▼▲▼●●●●●●●▼▲▼▲▼▲