卖玩具枪获刑十年男子提前回家 买的智能手机学了三天也没学会
“情理也是法理的考虑因素之一;透过现象看本质,这里是缺舟也渡人”
它不能让每个人都满意,也做不到绝对的公平,只能让绝大部分人满意,让相对公平得以彰显。
11月10日,景某回到山东临沂的家中。(再审可能减轻原判刑罚而致刑期届满,于是对其取保候审)

他在监狱里一共度过了7年2个月零23天。
回到家中的他拿着照片上神,当被问及上边的人是不是都认不出来了,他给予了肯定的回答。
如今的他明显还没有从牢狱的环境当中走出来,基本上每天都是躺在床上玩手机,拒绝和社会接触。(买的智能手机,学了三天也没有学会)
面对别人出去转转的建议,也是没什么反应。

缺舟:
这一切都要从2014年开始说起
景某,男,1988年生人,原户籍为山东省临沂市临沭县。
2014年,经营一家玩具店的他,因15支玩具枪被认定为“枪支”。
被以“非法买卖枪支罪”判处有期徒刑10年,因在狱内获减刑2次,实际执行时间为7年2个月23天。

因为原判的执行中止,所以对其予以释放。
我们第一反应看见这样的新闻都会觉得难以理解,因为如果因为贩卖玩具枪就获罪,确实有些冤枉。

打个比方,如果说某些执法人员回到家中,看见自己的家里人从外边的小卖部里边买了玩具枪给孩子用,那么是否也涉嫌如此严重的枪支犯罪呢?
而那些供应玩具枪的源头,是不是也需要附上连带责任?
我说这些话,不是想质疑判决,只是觉得在对于量刑方面一定要贴合实际。

对于这件事,我之所以有保留是因为景某的枪支,具体的规格和型号是如何的,没有详细的说明。
对以压缩气体等为动力的非制式枪支,所发射弹丸的枪口比动能大于等于1.8焦耳/平方厘米的,应认定为枪支。

而当年的鉴定书,景某所贩卖的15支玩具枪的枪口比动能,在4.13焦耳/平方厘米至11.95焦耳/平方厘米之间。
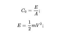
那么何谓比动能呢?就是弹箭的动能与其最大截面的比值。

C0为比动能,
E为动能,A为最大截面值。至于这个所谓的1.8焦耳,确实很容易就达到标准了,我们以前小时候玩的那种装载有BB弹的枪,有很多其实都已经超过了这个标准。

如果按照这个规定,难免就会出现量刑过重的情况。
所以在18年,最高院所下发的一份解读文件里边对于此进行了批复,就是避免机械适用刑法的现象。
通俗一点来说就是不再单单考虑枪支动力类型,枪口比动能高低;而是也需要考虑犯罪嫌疑人的主观故意、客观行为以及危害结果等因素。
原则中规定:
在整体上保持对涉枪犯罪的从严打击,但是在个案中要贯彻和落实从宽精神。(主要就是区分以压缩气体为动力、强东比动能较低的枪支案件定罪量刑标准)

遵循实事求是精神,其中有一条很重要:“以压缩气体为动力、强东比动能较低的枪支案件,要区别对待,相关案件的处理结果必须得到广大人民群众的认同”
所以综上所述,如果景某所贩卖的玩具枪确实违反了规定,那么指定是要接受惩罚。
如果到了仿真枪的范畴,最多也就是“非法经营罪”,但是这个“非法买卖枪支罪”确实对他来说罪名有些过大。

不判,不合适;判重了,还得承受相应的后果。
我们能够看到的一面是机械性适应,但是还有另外一面就是司法也在不断的进步,就是避免再次出现类似的事件。

只是希望下次能够早一点。
原标题:卖玩具枪获刑十年男子提前回家 买的智能手机学了三天也没学会
- 上一篇
圆通回应内鬼泄露公民信息 具体说了什么?是什么原因?
今日,圆通回应“内鬼致40万条个人信息泄露”,称:我们注意到,近日有媒体报道经公司报案、公安机关破获的非法获取并使用快递运单信息的案件。今年7月底,公司总部实时运行的风控系统监测到圆通速递河北省区下属加盟网点有两个账号存在非该网点运单信息的异常查询,判断为明显的异常操作,于第一时间关闭风险账号,同时立即成立由质控、安保、信息中心、网管以及河北省区组成的调查组,对此事件开展取证调查。调查发现,疑似有加盟网点个别员工与外部不法分子勾结,利用员工账号和第三方非法工具窃取运单信息,导致信息
- 下一篇
【关注】平遥古城一店员与游客起冲突 游客问商品价格不合适放回被冤枉偷
2020年11月17日,#平遥县文旅局回应店员与游客起冲突#一事登上微博热搜,引发广大网友们的关注。据悉,11月16日,山西晋中。一名女子称被平遥古城一饰品店店员冤枉偷东西,并被殴打致面部多处流血。对此,平遥县文旅局执法队工作人员告诉@时间视频,已接到相关投诉,事情发生在16日上午11点,当事人已报警,目前双方正在古城旅游警察大队协商处理。据知情网友爆料说,当事游客不是偷东西,是问了价格不合适,放回去就走了。店员声称游客放的位置不对,并辱骂游客,两人发生口角,进而发生肢体冲突。旁边银饰店店员以为游客偷东西
.jpg)
微信收款码
支付宝收款码