不懂
-
广东信息工程职业学院2023年中职招生简章
温馨提示:2023年高考进入倒计时,点击下载掌上高考app,获取各省历年真题、真题答案、详细解析。查分数、查专业、一键填报志愿。助力高考,金榜题名!更多详情点击链接阅读原文实习编辑:郑子健
一键金榜题名不懂 -
2023年贵州高职(专科)分类考试第一批拟录取公示名单
温馨提示:2023年高考进入倒计时,点击下载掌上高考app,获取各省历年真题、真题答案、详细解析。查分数、查专业、一键填报志愿。助力高考,金榜题名!贵州2023年高职(专科)分类考试招生第一批拟录取名单已公示(见附件)。附件:高中毕业生.pdf中职毕业生.pdf退役军人.pdf农民工.pdf其他四类人员.pdf
一键金榜题名不懂 -
2023年重庆高职分类考试招生录取信息表(高职对口本科批)
温馨提示:2023年高考进入倒计时,点击下载掌上高考app,获取各省历年真题、真题答案、详细解析。查分数、查专业、一键填报志愿。助力高考,金榜题名!
一键金榜题名不懂 -
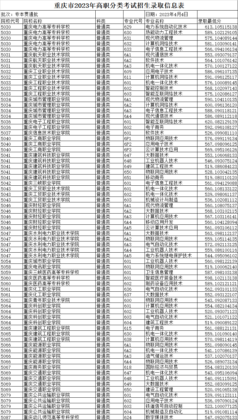
2023年重庆高职分类考试招生录取信息表 普通类(专本贯通批)
温馨提示:2023年高考进入倒计时,点击下载掌上高考app,获取各省历年真题、真题答案、详细解析。查分数、查专业、一键填报志愿。助力高考,金榜题名!
一键金榜题名不懂 -
2023软科中国财经类大学排名
温馨提示:2023年高考进入倒计时,点击下载掌上高考app,获取各省历年真题、真题答案、详细解析。查分数、查专业、一键填报志愿。助力高考,金榜题名!2023软科中国财经类大学排名的上榜高校有55所,上海财经大学、中央财经大学、对外经济贸易大学、西南财经大学、中南财经政法大学位列前五。以下是院校排名情况:
一键金榜题名不懂 -
2023软科中国民办高校排名(总榜)
温馨提示:2023年高考进入倒计时,点击下载掌上高考app,获取各省历年真题、真题答案、详细解析。查分数、查专业、一键填报志愿。助力高考,金榜题名!
一键金榜题名不懂 -
山西:2022高考外语口试成绩可查
不懂志愿填报怎么办?人工智能帮你选!点击进入,一键填报!山西省2022年普通高校招生外语口试工作已结束,成绩于6月30日揭晓,考生可登录山西招生考试网(www.sxkszx.cn)查询。
山西省不懂帮你
点击下方图片进入成绩查询入口 -
山东:2022年普通高等学校分专业招生计划补充信息
不懂志愿填报怎么办?人工智能帮你选!点击进入,一键填报!
山东省不懂帮你
山东省2022年普通高等学校分专业招生计划补充信息 -
2022年山东高考一分一段表发布
不懂志愿填报怎么办?人工智能帮你选!点击进入,一键填报!2022年夏季高考文化成绩一分一段表分数段全体选考物理选考化学选考生物选考思想政治选考历史选考地理本段人数累计人数本段人数累计人数本段人数累计人数本段人数累计人数本段人数累计人数本段人数累计人数本段人数累计人数68013551354135413536798638628626596787707697697666779799789789756761493139113911388675101031010110101997674171201711817118
人数不懂帮你 -
2022年浙江高考一分一段表发布
不懂志愿填报怎么办?人工智能帮你选!点击进入,一键填报!分数人数累计人数687↑30130168650351685423936846746068364524682625866818667268067739679107846678100946677118106467611811826751251307674143145067314715976721611758671162192067014520656691882253668226247966721826976662502947665208315566422
人数不懂帮你 -
湖北2022高考分数线:本科物理类409分,历史类435分
不懂志愿填报怎么办?人工智能帮你选!点击进入,一键填报!
湖北省不懂帮你
湖北省2022年普通高校招生录取控制分数线公布: -
湖北2022年高考一分一段表(物理类)
不懂志愿填报怎么办?人工智能帮你选!点击进入,一键填报!《湖北省2022年普通高考总分一分一段统计表》已经公布在湖北招生信息网(陆续更新中),电脑端访问网址为:https://zsxx.e21.cn/e21html/zsarticles/gaozhao/2022_06_25/80959.html。
湖北省不懂帮你 -
湖北2022年高考一分一段表(历史类)
不懂志愿填报怎么办?人工智能帮你选!点击进入,一键填报!《湖北省2022年普通高考总分一分一段统计表》已经公布在湖北招生信息网(陆续更新中),电脑端访问网址为:https://zsxx.e21.cn/e21html/zsarticles/gaozhao/2022_06_25/80959.html。
湖北省不懂帮你 -
高考前可以在家自学吗?有哪些注意事项
高三学生想要在家复习,首先要看自己是否符合自学的条件:一是在家自学,学习时间能不能保证;二是学生的自制力怎么样;三是遇到自己不会的问题怎么解决;四是自己是否有相应的学习计划。1高考前在家自学的方法1.专注,必须要心无旁骛,非常非常专注,不能为外界干扰。2.把除去吃饭睡觉之外的任何时间,都用在学习上。至于说劳逸结合,根本没必要。这是中国高考的现状,也是考生必须要面对的现实。你要相信,一个人的抗压潜力是无穷的。3.谦虚好问,不懂就问。只有解决不懂的问题,才会进步。题型就那么多,你会的题目,做一万遍也不会进步。
这是不懂复习资料 -
西藏2022高考分数线:重本文(汉)430分,理(汉)400分
不懂志愿填报怎么办?人工智能帮你选!点击进入,一键填报!
不懂帮你西藏
西藏2022年高考录取分数线公布: -
河北2022高考分数线:本科批历史类443,物理类430
不懂志愿填报怎么办?人工智能帮你选!点击进入,一键填报!
分数线不懂帮你
河北2022高考分数线公布:点击链接查看各省历年高考分数线 -
山西2022高考分数线:本科一批文史类517分,理工类498分
不懂志愿填报怎么办?人工智能帮你选!点击进入,一键填报!
不懂帮你山西
山西2022高考分数线公布: -
杨洁篪:这次高层会谈 美国连基本外交礼节都不懂
@玉渊谭天3月19日视频:美不行待客之道,中方严正回应。中共中央政治局委员、中央外事工作委员会办公室主任杨洁篪表态!杨洁篪说:我们把你们想得太好了,我们认为你们会遵守基本的外交礼节,所以我们刚才必须阐明我们的立场。我现在讲一句,你们没有资格在中国的面前说,你们从实力的地位出发同中国谈话。据央视新闻客户端消息,当地时间3月18日,中共中央政治局委员、中央外事工作委员会办公室主任杨洁篪、国务委员兼外长王毅在安克雷奇同美国国务卿布林肯、总统国家安全事务助理沙利文举行中美高层战略对话。杨洁篪在中美高层战略对话开场
美国不懂高层 -
【心理辅导】案例分析:我怀疑自己越来越笨心理建设
我怀疑自己越来越笨?问:我很怀疑自己是不是越来越笨了?复习的时候不懂的地方我就问,问同学问老师,请教了那么多人,好不容易老师上课讲的我都能听懂了,作业也没问题了,但期中考试后,我感觉自己还是不懂,题目还是不会做。我在想,是不是上帝在睡觉所以没让我开窍?答:很多学习很刻苦的学生都很苦恼这个问题:为什么课堂听懂了,考起试来还是一窍不通?这里的诀窍就是你不懂得灵活运用,老师课堂上讲的只是教会你使用工具的方法,课后你还要懂得掌握工具做出一个新产品,所以只懂得听,不懂得用,就很容易在考试中一败涂地。期中考的成绩只能
自己的不懂老师 -
【心理辅导】案例分析:我怀疑自己越来越笨心理建设
我怀疑自己越来越笨?问:我很怀疑自己是不是越来越笨了?复习的时候不懂的地方我就问,问同学问老师,请教了那么多人,好不容易老师上课讲的我都能听懂了,作业也没问题了,但期中考试后,我感觉自己还是不懂,题目还是不会做。我在想,是不是上帝在睡觉所以没让我开窍?答:很多学习很刻苦的学生都很苦恼这个问题:为什么课堂听懂了,考起试来还是一窍不通?这里的诀窍就是你不懂得灵活运用,老师课堂上讲的只是教会你使用工具的方法,课后你还要懂得掌握工具做出一个新产品,所以只懂得听,不懂得用,就很容易在考试中一败涂地。期中考的成绩只能
自己的不懂老师 -
谁赢了?外卖小哥回应遭大学生短信辱骂 小哥:他没进社会不懂事我不计较
9月14日,安徽马鞍山。网友爆料,一名外卖小哥把餐送到安徽工业大学东校区,因学校疫情管控,无法送到宿舍楼下,小哥便让点餐的学生到校北门来拿。不料,该学生先是拒接电话,随后又发短信辱骂小哥。对此外卖小哥告诉@时间视频,“他还没进社会不懂事,我不计较”。小哥还表示每天争分夺秒送餐很不易,希望点餐的客户能对他们多一些理解。原标题:大学生发短信辱骂外卖小哥 小哥:他没进社会不懂事,我不计较!
小哥外卖不懂 -
自学高中课程要多久,在家自学高考成功案例经验
自学高中课程要多久,在家自学高考成功案例经验
也有要有不懂
高中自学要多长时间呢,在家自学高考成功的经验有什么呢,有哪些技巧和方法呢,下面小编为大家分析一下,仅供大家参考。
自学高中课程要多长时间
要看你怎么自学啦,影响自学成功的因素还是挺多的,自身的聪慧还是挺重要的,还有自己的毅力等等,告诉你哦,曾经在高中时,我也有想自学的念头,而且还去实践啦,最后还是上了大学,给你几点建议,一,和家人商量得到他们准许,二,和老师搞好关系,(毕竟人再怎么聪明,也有不懂的时候),其实可以的遇到不懂的再去问问他们,还有虽然你选择自学这意 -
必知!夏天孩子遇危险9大急救法,不懂后悔都来不及
炎炎夏日,正是儿童意外事故的高发期。溺水、中暑、烫伤...各种安全隐患无处不在,所以爸妈们一定要掌握常见伤害的急救方法,最大程度地减小伤害。 小编整理了孩子夏季常见伤害的急救术,爸妈们一定要仔细看看了! 1 高热惊厥 孩子发生高热惊厥后,爸妈们可以这样处理: 1、让孩子平躺,以免在抽搐的过
不懂都来后悔 -
不懂感恩的孩子,成人后比狼更可怕!
贝贝妈对你说 获取更多资源和文章欢迎关注微信公众号“阅读陪伴成长”(ID:ziranyangyu) Hi~~我是贝贝妈妈,育儿路上我们携手同行,一起成长。 世界上最无私的爱莫过于父母对子女的爱!可是,这种最无私的爱却可能培养出最自私的人来。怎么会呢?赶紧往下看…… 家教决定孩子的出息,门风决定孩
不懂更可怕成人 -
带娃累?那是你不懂这16个绝招!
我在美国生了两个孩子,生育前后都有培训班,家庭医生每次洗脑让我受益匪浅,我的两个宝宝在婴儿时期乖巧得好像家里没有小婴儿,我甚至疑心她们会不会哭?如今外婆常拿这句傻话笑我。 回国后看到朋友或邻居们被小祖宗折磨得精疲力竭,想着将妈妈经写下来,或许可以帮到被小祖宗弄得手忙脚乱、身心疲惫的年轻爸爸妈妈。
那是不懂绝招

微信收款码
支付宝收款码